| 查看: 565 | 回复: 0 | ||
guilongzhang铁虫 (小有名气)
|
[求助]
大牛们帮我分析一下我做的磁性材料的ZFC~FC曲线,从处理前后看出哪些信息?
|
|
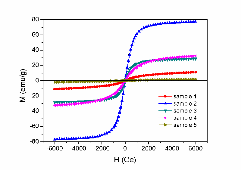
合成的材料Sample 2是Fe3O4,其它图示掺杂了不同量的其它金属离子,哪位大牛给我解释一下这其中的变化,感激不尽! M-H.GIF Sample 1.GIF Sample 2.GIF Sample 3.GIF Sample 4.GIF Sample 5.GIF |
» 猜你喜欢
坐标西安,招聘考研二战同学担任科研助理
已经有1人回复
如何绘图
已经有2人回复
冶金与矿业论文润色/翻译怎么收费?
已经有97人回复
金属检测用的光谱仪
已经有19人回复
关于缓冲体系离子浓度的计算
已经有0人回复
关于离子浓度计算
已经有1人回复
解决渗碳体倾斜角度问题
已经有0人回复
分享一本适合FLUENT入门的书
已经有1人回复
求助SambVca最新网址或等效工具
已经有0人回复
» 本主题相关商家推荐: (我也要在这里推广)
找到一些相关的精华帖子,希望有用哦~
向虫子们请教ZFC/FC得到这样的曲线说明什么问题?紧急求助~~~~
已经有16人回复
磁性高手请进Hyster,FC-ZFC,M-t,Ac全套测试数据,有一点不明,求解
已经有9人回复
谁能帮我看一下我的磁滞回线和ZFC曲线,不吝金币啊。
已经有17人回复
请问各位做磁性材料的虫子,关于各种材料对应的ZFC和FC曲线情况
已经有4人回复
【求助】ZFC/FC曲线,磁性纳米粒子
已经有7人回复
【交流】铁磁材料ZFC, FC
已经有11人回复
科研从小木虫开始,人人为我,我为人人













回复此楼

点击这里搜索更多相关资源