| 查看: 284 | 回复: 0 | ||
[求助]
DC ionic conductivity测固体电解质是什么?怎么测的?得到的高频数据就是膜电阻么?
|
|
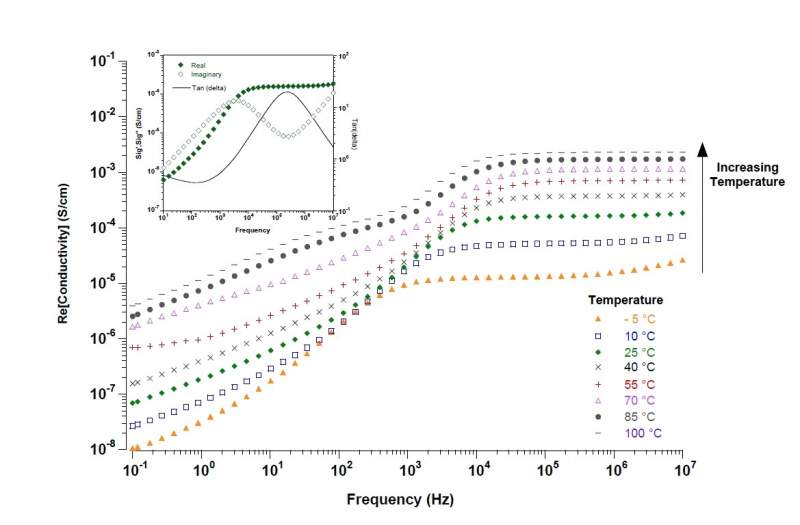
最近JACS上有一篇做PEO-PE-PEG固体电解质的,用了DC ionic conductivity测试电导率得到如下一张图,想问一下这个测试方法的原理,为什么从这个图中得到的高频的电导率值就可以认为是电解质膜的电导率? |
» 猜你喜欢
化学-化工-材料-食品-生物-环境2026年研究生调剂(可以不考数学)
已经有0人回复
化学-化工-材料-食品-生物-环境-农业 2026年研究生调剂(可以不考数学)
已经有1人回复
物理化学论文润色/翻译怎么收费?
已经有120人回复
070300一志愿211,312分求调剂院校
已经有12人回复
26年储能、电池方向博士申请
已经有0人回复
070300化学求调剂
已经有12人回复
青岛大学化学化工学院2026年招收调剂硕士研究生
已经有0人回复
北方工业大学085808储能技术-02方向(电池)接收调剂生
已经有0人回复
272求调剂,接受跨专业调剂!
已经有3人回复
有一区TOP论文,求调剂
已经有20人回复
大连工业大学杰青/长江团队-生物质材料-储能电池方向招收2026级博士生
已经有8人回复















回复此楼
10