| 查看: 1857 | 回复: 2 | ||
[交流]
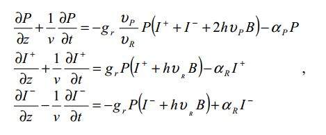
通过COMSOL软件求解光纤激光器自脉冲二维偏微分方程 已有2人参与
|

2楼2015-04-16 10:52:46
神秘星球
木虫 (正式写手)
- 应助: 4 (幼儿园)
- 金币: 1870.9
- 散金: 140
- 红花: 4
- 帖子: 336
- 在线: 159.1小时
- 虫号: 2128611
- 注册: 2012-11-15
- 性别: GG
- 专业: 光学

3楼2016-07-19 10:04:20














回复此楼
5