Znn3bq.jpeg
²é¿´: 1574  |  »Ø¸´: 6

ÆßÆß°®³Ô÷­Óã

гæ (СÓÐÃûÆø)

[ÇóÖú] Çó¹âÏËÖйâģʽ·Ö²¼ÎÊÌâ ÒÑÓÐ1È˲ÎÓë

ÇëÎʹâÏËÖйⳡ·Ö²¼µÄ±¾Õ÷·½³ÌÔõô½â£¿»¹Óб¾Õ÷Öµ£¨¹âÏËÓÐЧÕÛÉäÂÊ£©

Çó¹âÏËÖйâģʽ·Ö²¼ÎÊÌâ
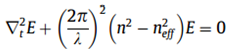
²¶»ñ.PNG
»Ø¸´´ËÂ¥

» ²ÂÄãϲ»¶

» ±¾Ö÷ÌâÏà¹Ø¼ÛÖµÌùÍÆ¼ö£¬¶ÔÄúͬÑùÓаïÖú:

ÒÑÔÄ   »Ø¸´´ËÂ¥   ¹Ø×¢TA ¸øTA·¢ÏûÏ¢ ËÍTAºì»¨ TAµÄ»ØÌû

ganqingliu

½ð³æ (ÖøÃûдÊÖ)

¿´Ò»Ï¹âÏ˹âѧµÄÊé¾ÍÖªµÀÁË

[ ·¢×ÔСľ³æ¿Í»§¶Ë ]
2Â¥2014-06-11 20:33:52
ÒÑÔÄ   »Ø¸´´ËÂ¥   ¹Ø×¢TA ¸øTA·¢ÏûÏ¢ ËÍTAºì»¨ TAµÄ»ØÌû

ÆßÆß°®³Ô÷­Óã

гæ (СÓÐÃûÆø)

ÒýÓûØÌû:
2Â¥: Originally posted by ganqingliu at 2014-06-11 20:33:52
¿´Ò»Ï¹âÏ˹âѧµÄÊé¾ÍÖªµÀÁË

ÄDZ߽çÌõ¼þÄØ
3Â¥2014-06-12 09:33:28
ÒÑÔÄ   »Ø¸´´ËÂ¥   ¹Ø×¢TA ¸øTA·¢ÏûÏ¢ ËÍTAºì»¨ TAµÄ»ØÌû

ÃÎÔÚäìÏæ

Ìú¸Ëľ³æ (ÖøÃûдÊÖ)

¡¾´ð°¸¡¿Ó¦Öú»ØÌû

¸Ðл²ÎÓ룬ӦÖúÖ¸Êý +1
ÒýÓûØÌû:
3Â¥: Originally posted by ÆßÆß°®³Ô÷­Óã at 2014-06-12 09:33:28
ÄDZ߽çÌõ¼þÄØ...

ÎÞ·ÇÊǵ糡ºÍ´Å³¡µÄ±ß½çÌõ¼þ£¬ÊéÉ϶¼ÓеÄ
4Â¥2014-06-12 09:43:57
ÒÑÔÄ   »Ø¸´´ËÂ¥   ¹Ø×¢TA ¸øTA·¢ÏûÏ¢ ËÍTAºì»¨ TAµÄ»ØÌû

zghbyysz

½ð³æ (СÓÐÃûÆø)

º¹£¬Ëæ±ã¿´Ò»±¾¹âÏ˹âѧÊé°É£¬»ù±¾Ã¿±¾Êé¶¼»áÏêϸ½â´ð¡£
5Â¥2014-06-15 11:23:18
ÒÑÔÄ   »Ø¸´´ËÂ¥   ¹Ø×¢TA ¸øTA·¢ÏûÏ¢ ËÍTAºì»¨ TAµÄ»ØÌû

ÆßÆß°®³Ô÷­Óã

гæ (СÓÐÃûÆø)

ÒýÓûØÌû:
4Â¥: Originally posted by ÃÎÔÚäìÏæ at 2014-06-12 09:43:57
ÎÞ·ÇÊǵ糡ºÍ´Å³¡µÄ±ß½çÌõ¼þ£¬ÊéÉ϶¼ÓеÄ...

ÒòΪÎÒ×îÖÕµÄÄ¿µÄÊÇÇó¹âÏËÖв¼ÀïԨɢÉäÖв»Í¬ÉùģʽµÄ·Ö²¼¡£¶øÇÒÎÒ²»ÖªµÀÈç¹û¹âÏËÕÛÉäÂʺܸ´ÔÓ£¬nΪr µÄº¯ÊýÔõôÇóÕâ¸ö¶«Î÷¡£
²»»á¡­¡­¡­¡­¡­¡­
6Â¥2014-06-17 09:28:51
ÒÑÔÄ   »Ø¸´´ËÂ¥   ¹Ø×¢TA ¸øTA·¢ÏûÏ¢ ËÍTAºì»¨ TAµÄ»ØÌû

ÃÎÔÚäìÏæ

Ìú¸Ëľ³æ (ÖøÃûдÊÖ)

¡¾´ð°¸¡¿Ó¦Öú»ØÌû

ÒýÓûØÌû:
6Â¥: Originally posted by ÆßÆß°®³Ô÷­Óã at 2014-06-17 09:28:51
ÒòΪÎÒ×îÖÕµÄÄ¿µÄÊÇÇó¹âÏËÖв¼ÀïԨɢÉäÖв»Í¬ÉùģʽµÄ·Ö²¼¡£¶øÇÒÎÒ²»ÖªµÀÈç¹û¹âÏËÕÛÉäÂʺܸ´ÔÓ£¬nΪr µÄº¯ÊýÔõôÇóÕâ¸ö¶«Î÷¡£
²»»á¡­¡­¡­¡­¡­¡­...

Õâʱºò¹À¼ÆµÃÊýÖµ½âÁË
7Â¥2014-06-17 09:30:39
ÒÑÔÄ   »Ø¸´´ËÂ¥   ¹Ø×¢TA ¸øTA·¢ÏûÏ¢ ËÍTAºì»¨ TAµÄ»ØÌû
Ïà¹Ø°æ¿éÌø×ª ÎÒÒª¶©ÔÄÂ¥Ö÷ ÆßÆß°®³Ô÷­Óã µÄÖ÷Ìâ¸üÐÂ
×î¾ßÈËÆøÈÈÌûÍÆ¼ö [²é¿´È«²¿] ×÷Õß »Ø/¿´ ×îºó·¢±í
[¿¼ÑÐ] 326Çóµ÷¼Á +6 Shansyn 2026-04-10 6/300 2026-04-12 09:46 by hammer3
[¿¼ÑÐ] Ò»Ö¾Ô¸Ö£ÖÝ´óѧ 22408 305·ÖÇóµ÷¼Á +5 °²Ð¡Âúzzz 2026-04-08 5/250 2026-04-12 00:41 by À¶ÔÆË¼Óê
[¿¼ÑÐ] 22408µ÷¼Á315·Ö +3 zhuangyan123 2026-04-09 3/150 2026-04-12 00:25 by À¶ÔÆË¼Óê
[¿¼ÑÐ] 26×ÔÈ»µØÀíѧ303·ÖÇóµ÷¼Á +6 Ò»Õ½³É˶°¡°¡°¡° 2026-04-06 11/550 2026-04-11 21:27 by Åáºêΰ
[½Ìʦ֮¼Ò] ÇëÎʵØÀí¡¢Ò£¸Ð·½Ã棬¿ÉÒÔ×öÄÄЩºáÏòÏîÄ¿°¡£¬×ÝÏòÍê²»³É¿¼ºË°¡ +3 ½õÒÂÎÀº®Õ½ 2026-04-07 5/250 2026-04-11 20:51 by Ô¥½·
[¿¼ÑÐ] 343Çóµ÷¼Á +9 Íõ¹ú˧ 2026-04-10 9/450 2026-04-11 20:31 by dongdian1
[¿¼ÑÐ] 271Çóµ÷¼Á +21 2261744733 2026-04-11 21/1050 2026-04-11 20:19 by Angchemist
[¿¼ÑÐ] »¯Ñ§308·ÖÇóµ÷¼Á +22 ÄãºÃÃ÷ÌìÄãºÃ 2026-04-07 24/1200 2026-04-11 11:14 by ChemPharm
[¿¼ÑÐ] 085410-273Çóµ÷¼Á +6 X1999 2026-04-10 6/300 2026-04-11 10:32 by Delta2012
[¿¼ÑÐ] 302·ÖÇóµ÷¼Á +9 ·²ÓïÆíÔ¸ 2026-04-08 10/500 2026-04-10 23:26 by 314126402
[¿¼ÑÐ] 368Çóµ÷¼Á +3 17385968172 2026-04-10 3/150 2026-04-10 20:12 by µç×Ӱµ±ë
[¿¼ÑÐ] Çóµ÷¼Á +5 ²»»á·ÉµÄÓã@ 2026-04-10 5/250 2026-04-10 19:07 by chemisry
[¿¼ÑÐ] ¿¼Ñе÷¼Á-²ÄÁÏÀà-284 +28 Ïë»»ÊÖ»ú²»Ïë½âÊ 2026-04-08 28/1400 2026-04-09 20:08 by µ¹Êý321?
[¿¼ÑÐ] 284Çóµ÷¼Á +7 ÈÃÎÒÉϰ¶°É°¢Î÷ 2026-04-09 7/350 2026-04-09 18:59 by haironglove
[¿¼ÑÐ] Ò»Ö¾Ô¸ÖпÆÔº105500רҵ×Ü·Ö315Çóµ÷¼Á +6 lallalh 2026-04-09 7/350 2026-04-09 17:51 by lallalh
[¿¼ÑÐ] »úе¹¤³Ì313·ÖÕÒ¹¤¿Æµ÷¼Á +3 ˫һÁ÷±¾¿Æ»úе 2026-04-08 3/150 2026-04-08 20:41 by ÍÁľ˶ʿÕÐÉú
[¿¼ÑÐ] Ò»Ö¾Ô¸ÄϾ©º½¿Õº½Ìì´óѧ ²ÄÁÏÓ뻯¹¤329·ÖÇóµ÷¼Á +11 Mr. Z 2026-04-05 12/600 2026-04-08 16:15 by luoyongfeng
[¿¼ÑÐ] ²ÄÁϹ¤³ÌרҵÈÕÓïÉúÇóµ÷¼Á +9 111623 2026-04-07 9/450 2026-04-07 23:31 by Ò»Ö»ºÃ¹û×Ó?
[¿¼ÑÐ] Ò»Ö¾Ô¸Î÷µç085401Çóµ÷¼Á +4 sunw1306 2026-04-07 4/200 2026-04-07 16:40 by à£à£à£0119
[¿¼ÑÐ] 0854Çóµ÷¼Á +9 ºàÊÏ·¬ÇÑɳ˾ 2026-04-06 10/500 2026-04-07 14:37 by shdgaomin
ÐÅÏ¢Ìáʾ
ÇëÌî´¦ÀíÒâ¼û