| 查看: 417 | 回复: 1 | ||
[求助]
ansys分析等截面梁自振频率分析
|
|
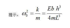
分析等截面梁加速度传感器梁自身质量对自振频率的影响,推导出忽略梁自身质量时的固有频率,利用ansys求出忽略梁质量时和不忽略质量时的频率值,并确定出端部球的质量m与梁的质量比值变化曲线或表格,板厚为h, 图片1.png 360截图20140608180947267.jpg 360截图20140608181042713.jpg |
» 猜你喜欢
紧急招博士生报考
已经有20人回复
第五届自动化、控制与通信工程国际研讨会(lWACCE 2026)
已经有0人回复
金属材料论文润色/翻译怎么收费?
已经有78人回复
第九届机械、电子和工业工程国际会议(MEIE 2026)
已经有0人回复
第四届光通信和光学信息处理国际学术会议(OCOIP2026)
已经有0人回复
第五届光电信息与计算机工程国际学术会议(OICE2026)
已经有0人回复
西南交通大学国家级人才团队2026年博士研究生招生(考核制)—机械、材料、力学方向
已经有3人回复
南京林业大学国家级青年人才团队招收2026年生物质转化/炭材料/储能等方向博士生
已经有15人回复
2026英国女王大学机械学院电池储能玛丽居里全奖博士招聘
已经有0人回复
2026英国女王大学机械学院电池储能玛丽居里全奖博士招聘
已经有0人回复
北京理工大学(珠海)诚邀全球英才依托申报2026年优青(海外)项目!
已经有0人回复


2楼2014-06-11 14:26:31













回复此楼
求回复