24СʱÈÈÃŰæ¿éÅÅÐаñ    

²é¿´: 339  |  »Ø¸´: 1

xixing123

гæ (³õÈëÎÄ̳)

[½»Á÷] ´ÅÐÔÔªËØ²ôÔÓFe3O4µÄ´Åµç×èÓÃʲôÄâºÏ ÒÑÓÐ1È˲ÎÓë

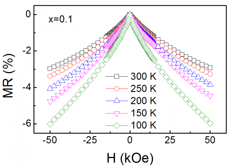
ÎÒ×öÁËÒ»¸öV²ôÔÓFe3O4£¬´Åµç×èÈçͼ¡£
ÓÉÓÚÕâ¸öÊÇÔڸ߳¡Ï´ﵽÈõ±¥ºÍ£¨ËƺõÊÇÕâô˵µÄ°É£©£¬ÎÞ·¨ÓøÆîÑ¿óÄ£ÐÍÀ´ÄâºÏ¡£
Çó½âÔõôÄâºÏ£¿

´ÅÐÔÔªËØ²ôÔÓFe3O4µÄ´Åµç×èÓÃʲôÄâºÏ
ÎÞ±êÌâ.png
»Ø¸´´ËÂ¥

» ²ÂÄãϲ»¶

» ±¾Ö÷ÌâÏà¹Ø¼ÛÖµÌùÍÆ¼ö£¬¶ÔÄúͬÑùÓаïÖú:

ÒÑÔÄ   »Ø¸´´ËÂ¥   ¹Ø×¢TA ¸øTA·¢ÏûÏ¢ ËÍTAºì»¨ TAµÄ»ØÌû

mjx150

ÈÙÓþ°æÖ÷ (ÕýʽдÊÖ)

¡ï
Сľ³æ: ½ð±Ò+0.5, ¸ø¸öºì°ü£¬Ð»Ð»»ØÌû
ÈõÈõµÄÎÊÒ»¾ä£¬ÇëÎÊÄâºÏµÄÎÊÌâ½â¾öÁËÂð£¿Ã²ËÆÕâ¸ö²»ÓÃÄâºÏµÄ
Theworstsituationbroughtoutthebestofyou.
2Â¥2014-06-18 22:28:06
ÒÑÔÄ   »Ø¸´´ËÂ¥   ¹Ø×¢TA ¸øTA·¢ÏûÏ¢ ËÍTAºì»¨ TAµÄ»ØÌû
Ïà¹Ø°æ¿éÌø×ª ÎÒÒª¶©ÔÄÂ¥Ö÷ xixing123 µÄÖ÷Ìâ¸üÐÂ
×î¾ßÈËÆøÈÈÌûÍÆ¼ö [²é¿´È«²¿] ×÷Õß »Ø/¿´ ×îºó·¢±í
[¿¼ÑÐ] Ò»Ö¾Ô¸¹ú¿Æ¹ý³ÌËù081700£¬274Çóµ÷¼Á +3 ÈýË®ÑÐ0Ë®Á¢·½ 2026-03-23 3/150 2026-03-23 23:11 by MajorWen
[¿¼ÑÐ] Ò»Ö¾Ô¸211 ³õÊÔ270·Ö Çóµ÷¼Á +4 ¹ÈÓêÉϰ¶ 2026-03-23 5/250 2026-03-23 21:18 by ²»»ó¿ÉÀÖ
[¿¼ÑÐ] 291 Çóµ÷¼Á +4 »¯¹¤2026½ì±ÏÒµÉ 2026-03-21 5/250 2026-03-23 16:46 by »¯¹¤2026½ì±ÏÒµÉ
[¿¼ÑÐ] 289Çóµ÷¼Á +7 »³èªÎÕè¤l 2026-03-20 7/350 2026-03-22 15:57 by ColorlessPI
[¿¼ÑÐ] 285Çóµ÷¼Á +6 ytter 2026-03-22 6/300 2026-03-22 12:09 by ÐÇ¿ÕÐÇÔÂ
[¿¼²©] ÕÐÊÕ²©Ê¿1-2ÈË +3 QGZDSYS 2026-03-18 4/200 2026-03-22 10:25 by QGZDSYS
[¿¼ÑÐ] 0856²ÄÁÏר˶353Çóµ÷¼Á +4 NIFFFfff 2026-03-20 4/200 2026-03-22 09:49 by 2026paper
[¿¼ÑÐ] ²ÄÁÏѧ˶301·ÖÇóµ÷¼Á +7 Liyouyumairs 2026-03-21 7/350 2026-03-21 22:31 by peike
[¿¼ÑÐ] 0703»¯Ñ§µ÷¼Á +4 ÄÝÄÝninicgb 2026-03-21 4/200 2026-03-21 18:39 by ѧԱ8dgXkO
[¿¼ÑÐ] 297Çóµ÷¼Á +3 ϲ»¶»¹ÊDz»¸ÊÐÄ 2026-03-20 3/150 2026-03-21 18:33 by ѧԱ8dgXkO
[¿¼ÑÐ] 278Çóµ÷¼Á +9 ÑÌ»ðÏÈÓÚ´º 2026-03-17 9/450 2026-03-21 17:47 by ѧԱ8dgXkO
[¿¼ÑÐ] Äϲý´óѧ²ÄÁÏר˶311·ÖÇóµ÷¼Á +6 77chaselx 2026-03-20 6/300 2026-03-21 07:24 by JourneyLucky
[¿¼ÑÐ] ²ÄÁϹ¤³Ì£¨×¨£©Ò»Ö¾Ô¸985 ³õÊÔ335Çóµ÷¼Á +3 hiloiy 2026-03-17 4/200 2026-03-21 03:04 by JourneyLucky
[¿¼ÑÐ] 304Çóµ÷¼Á +6 ÂüÊâ2266 2026-03-18 6/300 2026-03-21 00:32 by JourneyLucky
[¿¼ÑÐ] Ò»Ö¾Ô¸ Î÷±±´óѧ £¬070300»¯Ñ§Ñ§Ë¶£¬×Ü·Ö287£¬Ë«·ÇÒ»±¾£¬Çóµ÷¼Á¡£ +4 ³¿»èÏßÓëÐǺ£ 2026-03-19 4/200 2026-03-20 22:15 by JourneyLucky
[¿¼ÑÐ] 329Çóµ÷¼Á +9 ÏëÉÏѧ߹߹ 2026-03-19 9/450 2026-03-20 22:01 by luoyongfeng
[¿¼ÑÐ] 295²ÄÁÏÇóµ÷¼Á£¬Ò»Ö¾Ô¸Î人Àí¹¤085601ר˶ +5 Charlieyq 2026-03-19 5/250 2026-03-20 20:35 by JourneyLucky
[¿¼ÑÐ] Ò»Ö¾Ô¸ ÄϾ©º½¿Õº½Ìì´óѧ´óѧ £¬080500²ÄÁÏ¿ÆÑ§Ó빤³Ìѧ˶ +5 @taotao 2026-03-20 5/250 2026-03-20 20:16 by JourneyLucky
[¿¼ÑÐ] 261ÇóBÇøµ÷¼Á£¬¿ÆÑо­Àú·á¸» +3 Å£Ä̺Üæ 2026-03-20 4/200 2026-03-20 19:34 by JourneyLucky
[¿¼ÑÐ] ²ÄÁÏѧ˶318Çóµ÷¼Á +5 February_Feb 2026-03-19 5/250 2026-03-19 23:51 by 23Postgrad
ÐÅÏ¢Ìáʾ
ÇëÌî´¦ÀíÒâ¼û