| ²é¿´: 1420 | »Ø¸´: 10 | ||
OsscurÌú³æ (СÓÐÃûÆø)
|
[ÇóÖú]
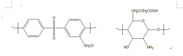
Âȼ׻ù¾ÛÃÑí¿ÄÜÓëôȼ׻ù¿Ç¾ÛÌÇ·´Ó¦Â𣿠ÒÑÓÐ1È˲ÎÓë
|
|
|
³æÓÑÃÇ£¬ÎÒÏëÎÊÎÊÂȼ׻ù¾ÛÃÑí¿ÄÜÓëôȼ׻ù¿Ç¾ÛÌÇ·´Ó¦Âð£¿ÆäÖÐÂȼ׻ù¾ÛÃÑí¿ÊǹÌ̬µÄ£¬ôȼ׻ù¿Ç¾ÛÌÇÊÇË®ÈÜÒº£¬ÄÄλ¸ßÊÖÄܸøÎҴ𰸣¬¼±£¡£¡£¡ ²¶»ñ.PNG |
» ±¾ÌûÒÑ»ñµÃµÄºì»¨£¨×îÐÂ10¶ä£©
» ²ÂÄãϲ»¶
Ò»Ö¾Ô¸211£¬»¯Ñ§Ñ§Ë¶£¬310·Ö£¬±¾¿ÆÖصãË«·Ç£¬Çóµ÷¼Á
ÒѾÓÐ9È˻ظ´
Ò»Ö¾Ô¸211£¬»¯Ñ§Ñ§Ë¶£¬310·Ö£¬±¾¿ÆÖصãË«·Ç£¬Çóµ÷¼Á
ÒѾÓÐ17È˻ظ´
070300»¯Ñ§Ñ§Ë¶311·ÖÇóµ÷¼Á
ÒѾÓÐ15È˻ظ´
²ÄÁϵ÷¼Á
ÒѾÓÐ13È˻ظ´
²ÄÁÏÓ뻯¹¤×¨Ë¶306·ÖÕÒºÏÊʵ÷¼Á
ÒѾÓÐ19È˻ظ´
»¯Ñ§¹¤³Ìµ÷¼Á289
ÒѾÓÐ19È˻ظ´
»¯¹¤Ñ§Ë¶ 285Çóµ÷¼Á
ÒѾÓÐ22È˻ظ´
298Çóµ÷¼Á
ÒѾÓÐ6È˻ظ´
368»¯Ñ§Çóµ÷¼Á
ÒѾÓÐ3È˻ظ´
326Çóµ÷¼Á
ÒѾÓÐ6È˻ظ´
» ±¾Ö÷ÌâÏà¹Ø¼ÛÖµÌùÍÆ¼ö£¬¶ÔÄúͬÑùÓаïÖú:
2014Äê¶ÈÕã½Ê¡×ÔÈ»¿ÆÑ§»ù½ðÄâ×ÊÖúÏîÄ¿Çåµ¥
ÒѾÓÐ14È˻ظ´
½ÓÖ¦¹ý³ÌÖз¢ÉúÁ˽»Áª·´Ó¦µÄÖ÷ÒªÔÒòÊÇʲô£¿Ôõô½â¾ö£¿
ÒѾÓÐ9È˻ظ´
ôȼ׻ù¿Ç¾ÛÌÇÈܽâÐÔ
ÒѾÓÐ6È˻ظ´
ÏËÎ¬ËØ½ÓÖ¦¸ÄÐÔ
ÒѾÓÐ6È˻ظ´
ÇóÖú»·ÑõÂȱûÍéÓë¶ÔôÇ»ù±½¼×È©µÄ·´Ó¦
ÒѾÓÐ7È˻ظ´
ÇóÖú ôȼ׻ù¿Ç¾ÛÌǵÄôÈ»ù¿ÉÒÔºÍÆäËû·Ö×Ó°±»ù·´Ó¦
ÒѾÓÐ6È˻ظ´
ôȼ׻ù¿Ç¾ÛÌÇ´ÅÐÔ¸´ºÏ΢ÇòµÄÖÆ±¸
ÒѾÓÐ4È˻ظ´
»·ÑõÂȱûÍéºÍ¶þÔª´¼µÄ·´Ó¦£¨Èý·ú»¯ÅðÒÒÃÑ×öcat£©
ÒѾÓÐ11È˻ظ´
ôȼ׻ù¿Ç¾ÛÌÇ΢ÇòµÄÖÆ±¸
ÒѾÓÐ20È˻ظ´
ôȼ׻ù¿Ç¾ÛÌÇÓ뺬ôÈ»ùµÄС·Ö×ÓÓлúÎï½ÓÖ¦µÄÒÉ»ó
ÒѾÓÐ10È˻ظ´
O-ôȼ׻ù¿Ç¾ÛÌǵÄÈܽâÎÊÌâ
ÒѾÓÐ11È˻ظ´
ÈýÒÒ´¼°·Óë»·ÑõÂȱûÍé·´Ó¦Ìõ¼þ
ÒѾÓÐ6È˻ظ´
ôȼ׻ù¿Ç¾ÛÌǺìÍâ¹âÆ×·ÖÎö
ÒѾÓÐ3È˻ظ´
¼±¼±¼±£¡£¡£¡Èýäå±½·ÓÓë»·ÑõÂȱûÍéµÄ·´Ó¦»úÀí
ÒѾÓÐ12È˻ظ´
ÔõôÕÒÒ»ÖÖÎïÖÊÌæ´úÒì±û´¼µÄ×÷ÓÃ
ÒѾÓÐ23È˻ظ´
ôȼ׻ù¿Ç¾ÛÌǵÄÖÆ±¸·½·¨
ÒѾÓÐ15È˻ظ´
ÇóÖú£¡£¡£¡´ÅÐÔÁ£×ÓºÍôȼ׻ù¿Ç¾ÛÌÇÓÃEDCÔÚË®ÈÜÒºÖÐÄܽøÐÐõ¥»¯·´Ó¦Âð£¿
ÒѾÓÐ18È˻ظ´
¡¾ÇóÖú¡¿Ç󾺾ÛÂʵÄQ,EÖµ±í!!
ÒѾÓÐ6È˻ظ´
¡¾ÇóÖú¡¿ôȼ׻ù¿Ç¾ÛÌÇ¡¡È¡´ú¶È¡¡ÈܽâÐÔ
ÒѾÓÐ19È˻ظ´
¡¾ÇóÖú¡¿¼±ÎÊ£ºôȼ׻ù¿Ç¾ÛÌÇË®ÈÜÒºµÄZetaµãλ»òÕß´øµçÐÔ
ÒѾÓÐ5È˻ظ´
¡¾ÇóÖú¡¿ôȼ׻ù¿Ç¾ÛÌÇÈܽâµÄphÖµ
ÒѾÓÐ14È˻ظ´
ÉúÎï²ÄÁϰæÇóÖú½»Á÷ÌûË÷Òý¡¾¸üÐÂÖÁ20090404¡¿
ÒѾÓÐ12È˻ظ´
tongganggang
½ð³æ (³õÈëÎÄ̳)
- Ó¦Öú: 11 (СѧÉú)
- ½ð±Ò: 946.3
- ºì»¨: 4
- Ìû×Ó: 35
- ÔÚÏß: 52.8Сʱ
- ³æºÅ: 1013048
- ×¢²á: 2010-05-07
- ÐÔ±ð: GG
- רҵ: ¸ß·Ö×Ӻϳɻ¯Ñ§
¡¾´ð°¸¡¿Ó¦Öú»ØÌû
|
ÄãÏ£ÍûµÄÊÇ·´Ó¦Äܹ»¶¯Á¦Ñ§¿ØÖÆ, Ò²¾ÍÊÇ˵ֻѡÔñ×îÓлîÐÔµÄÇ׺˻ùÍŰ·»ù²ÎÓë·´Ó¦¶ø²»ÊÇÈκÎÇ׺˻ù¶¼ÄÜ·´Ó¦.ÔÚµÍÎÂʱ»îÆÃ»ùÍźͲ»»îÆÃ»ùÍŵķ´Ó¦ËÙÂʲî±ð²Å×ã¹»´ó.¸ßÎÂʱÄã×ó±ßÔÁϺܿÉÄÜÒ»ÏÂ×Ó¾ÍË®½âÁË. |
4Â¥2014-06-04 09:34:01
tongganggang
½ð³æ (³õÈëÎÄ̳)
- Ó¦Öú: 11 (СѧÉú)
- ½ð±Ò: 946.3
- ºì»¨: 4
- Ìû×Ó: 35
- ÔÚÏß: 52.8Сʱ
- ³æºÅ: 1013048
- ×¢²á: 2010-05-07
- ÐÔ±ð: GG
- רҵ: ¸ß·Ö×Ӻϳɻ¯Ñ§
2Â¥2014-05-31 08:02:47
Osscur
Ìú³æ (СÓÐÃûÆø)
- Ó¦Öú: 1 (Ó×¶ùÔ°)
- ½ð±Ò: 398.8
- É¢½ð: 10
- ºì»¨: 1
- Ìû×Ó: 61
- ÔÚÏß: 52.2Сʱ
- ³æºÅ: 1331526
- ×¢²á: 2011-06-26
- ÐÔ±ð: GG
- רҵ: Ó¦Óø߷Ö×Ó»¯Ñ§ÓëÎïÀí
3Â¥2014-06-02 17:04:47
Osscur
Ìú³æ (СÓÐÃûÆø)
- Ó¦Öú: 1 (Ó×¶ùÔ°)
- ½ð±Ò: 398.8
- É¢½ð: 10
- ºì»¨: 1
- Ìû×Ó: 61
- ÔÚÏß: 52.2Сʱ
- ³æºÅ: 1331526
- ×¢²á: 2011-06-26
- ÐÔ±ð: GG
- רҵ: Ó¦Óø߷Ö×Ó»¯Ñ§ÓëÎïÀí
5Â¥2014-06-05 20:17:42
tongganggang
½ð³æ (³õÈëÎÄ̳)
- Ó¦Öú: 11 (СѧÉú)
- ½ð±Ò: 946.3
- ºì»¨: 4
- Ìû×Ó: 35
- ÔÚÏß: 52.8Сʱ
- ³æºÅ: 1013048
- ×¢²á: 2010-05-07
- ÐÔ±ð: GG
- רҵ: ¸ß·Ö×Ӻϳɻ¯Ñ§
6Â¥2014-06-06 09:13:17
Osscur
Ìú³æ (СÓÐÃûÆø)
- Ó¦Öú: 1 (Ó×¶ùÔ°)
- ½ð±Ò: 398.8
- É¢½ð: 10
- ºì»¨: 1
- Ìû×Ó: 61
- ÔÚÏß: 52.2Сʱ
- ³æºÅ: 1331526
- ×¢²á: 2011-06-26
- ÐÔ±ð: GG
- רҵ: Ó¦Óø߷Ö×Ó»¯Ñ§ÓëÎïÀí
7Â¥2014-06-07 15:07:57
tongganggang
½ð³æ (³õÈëÎÄ̳)
- Ó¦Öú: 11 (СѧÉú)
- ½ð±Ò: 946.3
- ºì»¨: 4
- Ìû×Ó: 35
- ÔÚÏß: 52.8Сʱ
- ³æºÅ: 1013048
- ×¢²á: 2010-05-07
- ÐÔ±ð: GG
- רҵ: ¸ß·Ö×Ӻϳɻ¯Ñ§
8Â¥2014-06-08 06:21:49
tongganggang
½ð³æ (³õÈëÎÄ̳)
- Ó¦Öú: 11 (СѧÉú)
- ½ð±Ò: 946.3
- ºì»¨: 4
- Ìû×Ó: 35
- ÔÚÏß: 52.8Сʱ
- ³æºÅ: 1013048
- ×¢²á: 2010-05-07
- ÐÔ±ð: GG
- רҵ: ¸ß·Ö×Ӻϳɻ¯Ñ§
9Â¥2014-06-08 06:26:50
Osscur
Ìú³æ (СÓÐÃûÆø)
- Ó¦Öú: 1 (Ó×¶ùÔ°)
- ½ð±Ò: 398.8
- É¢½ð: 10
- ºì»¨: 1
- Ìû×Ó: 61
- ÔÚÏß: 52.2Сʱ
- ³æºÅ: 1331526
- ×¢²á: 2011-06-26
- ÐÔ±ð: GG
- רҵ: Ó¦Óø߷Ö×Ó»¯Ñ§ÓëÎïÀí
10Â¥2014-06-08 12:42:13














»Ø¸´´ËÂ¥
Osscur