| ²é¿´: 1386 | »Ø¸´: 2 | ||
ÎÄ»¯ÈË2011½ð³æ (СÓÐÃûÆø)
|
[ÇóÖú]
²ÄÁÏ͸¹ýÂÊÓëÖ±Á÷µçµ¼ÂÊ¡¢¹âµçµ¼ÂÊ¡¢µç×èÖ®¼äµÄ¹ØÏµ£¿ ÒÑÓÐ1È˲ÎÓë
|
|
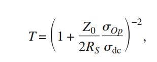
ͼƬÖеĹ«Ê½ÊÇÔõÃ´ÍÆµ¼µÄ°¡£¿ ¹«Ê½À´Ô´ÓÚÎÄÏ× APPLIED PHYSICS LETTERS97, 023114 £¨2010£© ¼û¸½¼þ¡£ ´ËÍâÎÄÏ×ÀïÌáµ½µÄ²Î¿¼ÎÄÏ×4ÊÇÒ»±¾½£ÇÅ´óѧ³ö°æµÄÊ飬ÎÒ·Á˺ü¸±é£¬»¹ÊÇûÕÒµ½³ö´¦°¡¡£http://www.docin.com/p-315902531.html ³æÓÑÃÇÓÐûÓÐÑо¿¹ýÕâ¸ö¹«Ê½µÄ°¡£¿ÌرðÊǹ«Ê½Ã¿Ò»ÏîµÄÎïÀíÒâÒåºÍ¹«Ê½ÍƵ¼µÄÀ´ÁúÈ¥Âö¡£ÎÒʵÔÚÊÇŪ²»Çå³þ°¡~Çó¸÷λ´óÏÀÖ¸µ¼¡£ ÎÄÏ×ÀïËù˵µÄoptical conductivity Êǰ뵼ÌåÎïÀíËù˵µÄÓÉÓÚ¹âÕÕ×÷Ó㬷ÇƽºâÔØÁ÷×ÓÒýÆðµçµ¼ÂÊÔö¼ÓµÄÄDz¿·ÖÂ𣿠BUC$WP41_)VPX9{Q(%]3`IJ.jpg |
» ±¾Ìû¸½¼þ×ÊÔ´Áбí
-
»¶Ó¼à¶½ºÍ·´À¡£ºÐ¡Ä¾³æ½öÌṩ½»Á÷ƽ̨£¬²»¶Ô¸ÃÄÚÈݸºÔð¡£
±¾ÄÚÈÝÓÉÓû§×ÔÖ÷·¢²¼£¬Èç¹ûÆäÄÚÈÝÉæ¼°µ½ÖªÊ¶²úȨÎÊÌ⣬ÆäÔðÈÎÔÚÓÚÓû§±¾ÈË£¬Èç¶Ô°æÈ¨ÓÐÒìÒ飬ÇëÁªÏµÓÊÏ䣺xiaomuchong@tal.com - ¸½¼þ 1 : ÈáÐÔ̼ÄÉÃ×¹Ü.pdf
2014-05-26 21:56:44, 265.24 K
» ²ÂÄãϲ»¶
ÇóÖúÁ½ÖÖBiOBr¾§ÌåµÄCIFÎļþ£¨¿¨Æ¬ºÅΪJCPDS 09-0393ÓëJCPDS 01-1004 £©
ÒѾÓÐ0È˻ظ´
¹þ¶û±õ¹¤³Ì´óѧ²Ä»¯Ñ§Ôº¹ú¼Ò¼¶ÇàÄêÈ˲Å-26Äê˶ʿÕÐÉú
ÒѾÓÐ0È˻ظ´
½ðÊô²ÄÁÏÂÛÎÄÈóÉ«/·ÒëÔõôÊÕ·Ñ?
ÒѾÓÐ215È˻ظ´
ÇóÖúFe-TCPP¡¢Zn-TCPPµÄCIFÎļþ£¬»òÕßCCDCºÅ
ÒѾÓÐ0È˻ظ´
XPS/?¦ËXPS
ÒѾÓÐ0È˻ظ´
ºÓ±±´óѧ-26ÄêÇï¼¾Èëѧ»¯Ñ§²©Ê¿ÕÐÉú
ÒѾÓÐ0È˻ظ´
ÕÐÊÕ2026ÄêÈëѧ²©Ê¿Ñо¿Éú
ÒѾÓÐ9È˻ظ´
» ±¾Ö÷ÌâÏà¹ØÉ̼ÒÍÆ¼ö: (ÎÒÒ²ÒªÔÚÕâÀïÍÆ¹ã)
» ±¾Ö÷ÌâÏà¹Ø¼ÛÖµÌùÍÆ¼ö£¬¶ÔÄúͬÑùÓаïÖú:
½»Á÷×迹·¨²âÊÔÌմɷ۵ĵ絼ÂÊ£¬ÊýÖµÌØ±ðС£¬ÊDz»ÊÇ»¹µÃ¿¼ÂdzýÈ¥¼Ð¾ßµÄµç×è°¡
ÒѾÓÐ6È˻ظ´
ʵÑéÊÒÒªÇó²âÁ¿È¥Àë×ÓË®µÄµç×èÖµ£¬´ó¼ÒÍÆ¼öÒ»ÏÂʲôÐͺŵĵ絼ÂÊÒǽϺÃ
ÒѾÓÐ45È˻ظ´
°ëµ¼Ìå±íÃæµçµ¼ÂÊ»òµç×èÂʲâÊÔÇóÖú
ÒѾÓÐ3È˻ظ´
ÇóÖúÏÂÃæÄĸöÊǵç×èÂÊ Âé·³¼ÆËã³öµçµ¼ÂÊºÍÆä·½·¨ £¨100½ð±Ò³êл£©
ÒѾÓÐ9È˻ظ´
µçµ¼Âʺ͵ç×èÂʵĻ»Ëã
ÒѾÓÐ5È˻ظ´
µç×èÂʺ͵絼ÂʵĻ»Ëã
ÒѾÓÐ7È˻ظ´
µçµ¼ÂÊÓëÃæµç×èµÄ¹ØÏµ
ÒѾÓÐ7È˻ظ´
¡¾ÌÖÂÛ¡¿ÈçºÎͨ¹ý²â±¡Ä¤µÄ½»Á÷×迹µÃµ½µç×èÂÊ»òµçµ¼ÂÊ
ÒѾÓÐ19È˻ظ´
¡¾ÇóÖú¡¿Ê¯Ä«Ï©µÄµç×èºÍµçµ¼ÂÊÊǶàÉÙ£¿
ÒѾÓÐ4È˻ظ´
hp304132652
ľ³æ (ÕýʽдÊÖ)
- Ó¦Öú: 13 (СѧÉú)
- ½ð±Ò: 3762.6
- ºì»¨: 5
- Ìû×Ó: 348
- ÔÚÏß: 107.7Сʱ
- ³æºÅ: 1278492
- ×¢²á: 2011-04-26
- ÐÔ±ð: GG
- רҵ: Ãô¸Ðµç×ÓѧÓë´«¸ÐÆ÷
¡¾´ð°¸¡¿Ó¦Öú»ØÌû
¡ï ¡ï ¡ï ¡ï ¡ï ¡ï ¡ï ¡ï ¡ï ¡ï
¸Ðл²ÎÓ룬ӦÖúÖ¸Êý +1
ÎÄ»¯ÈË2011: ½ð±Ò+10, ¡ï¡ï¡ïºÜÓаïÖú 2014-05-27 12:17:07
¸Ðл²ÎÓ룬ӦÖúÖ¸Êý +1
ÎÄ»¯ÈË2011: ½ð±Ò+10, ¡ï¡ï¡ïºÜÓаïÖú 2014-05-27 12:17:07
|
ÄãÈ¥ËÑË÷¿´Jonathan Coleman 2010Äê·¢±íÔÚacs nanoÉϵÄÄÇÆªÎÄÕÂ, size effects and the percolation in nanostructured transparent conductor, ÀïÃæÓÐÏêϸµÄÍÆµ¼Õâ¸ö¹«Ê½¡£ [ ·¢×ÔСľ³æ¿Í»§¶Ë ] |
» ±¾ÌûÒÑ»ñµÃµÄºì»¨£¨×îÐÂ10¶ä£©
2Â¥2014-05-27 00:40:46
ÎÄ»¯ÈË2011
½ð³æ (СÓÐÃûÆø)
- Ó¦Öú: 0 (Ó×¶ùÔ°)
- ½ð±Ò: 4955.6
- É¢½ð: 145
- Ìû×Ó: 256
- ÔÚÏß: 116.7Сʱ
- ³æºÅ: 1494795
- ×¢²á: 2011-11-16
- ÐÔ±ð: GG
- רҵ: ¹â×ÓÓë¹âµç×ÓÆ÷¼þ
3Â¥2014-05-27 12:21:30













»Ø¸´´ËÂ¥

ÎÄ»¯ÈË2011