| ²é¿´: 2851 | »Ø¸´: 8 | ||
[½»Á÷]
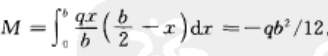
¾ù²¼ÔغɼÆËãµÄ½á¹ûÓиö¸ººÅ£¬Õâ¸ö¸ººÅ´ú±íµÄ·½ÏòÊÇʲô£¿ ÒÑÓÐ6È˲ÎÓë
|
» ±¾Ö÷ÌâÏà¹Ø¼ÛÖµÌùÍÆ¼ö£¬¶ÔÄúͬÑùÓаïÖú:
AnsysÖÐÔÚÇúÃæÉÏÊ©¼Ó¾ù²¼ÔغÉ
ÒѾÓÐ10È˻ظ´
×Ô¼ºÐ´µÄÒ»¸öС³ÌÐò£¬³öÏÖÎÊÌâ²»ÖªµÀÔõô½â¾ö
ÒѾÓÐ9È˻ظ´
liuchao0878
ľ³æ (СÓÐÃûÆø)
- Ó¦Öú: 29 (СѧÉú)
- ½ð±Ò: 2691
- É¢½ð: 150
- ºì»¨: 1
- Ìû×Ó: 194
- ÔÚÏß: 410.4Сʱ
- ³æºÅ: 1603636
- ×¢²á: 2012-02-07
- ÐÔ±ð: GG
- רҵ: ¿ØÖÆÀíÂÛÓë·½·¨

2Â¥2014-05-27 16:46:37
yuhen1991
½ð³æ (ÖøÃûдÊÖ)
- Ó¦Öú: 10 (Ó×¶ùÔ°)
- ½ð±Ò: 1397.6
- ɳ·¢: 5
- Ìû×Ó: 1446
- ÔÚÏß: 55.5Сʱ
- ³æºÅ: 3190760
- ×¢²á: 2014-05-08
- ÐÔ±ð: GG
- רҵ: ½á¹¹¹¤³Ì
¡ï
Сľ³æ: ½ð±Ò+0.5, ¸ø¸öºì°ü£¬Ð»Ð»»ØÌû
Сľ³æ: ½ð±Ò+0.5, ¸ø¸öºì°ü£¬Ð»Ð»»ØÌû
| ÓëÄã³õÊÔ¶¨ÒåµÄÕý·½ÏòÏà·´£¬Ã»Ê²Ã´ÌØÊâµÄ£¡ |
3Â¥2014-05-27 18:58:29
ÄäÃû
Óû§×¢Ïú (ÖªÃû×÷¼Ò)
- Ó¦Öú: 9 (Ó×¶ùÔ°)
- ½ð±Ò: 603.6
- É¢½ð: 2336
- ºì»¨: 103
- ɳ·¢: 32
- Ìû×Ó: 5607
- ÔÚÏß: 1006.8Сʱ
- ³æºÅ: 0
- ×¢²á: 2013-04-17
- רҵ: Ë®¹¤½á¹¹ºÍ²ÄÁϼ°Ê©¹¤
4Â¥2014-05-27 21:34:57
goldxmc
½ð³æ (ÎÄ̳¾«Ó¢)
- Ó¦Öú: 11 (СѧÉú)
- ½ð±Ò: 2885.2
- É¢½ð: 1802
- ºì»¨: 15
- Ìû×Ó: 10341
- ÔÚÏß: 139.1Сʱ
- ³æºÅ: 2998761
- ×¢²á: 2014-02-26
- ÐÔ±ð: GG
- רҵ: ¼ÆËã»úÌåϵ½á¹¹

5Â¥2014-05-27 22:41:14
wumaldini
ÖÁ×ðľ³æ (Ö°Òµ×÷¼Ò)
- EPI: 2
- Ó¦Öú: 25 (СѧÉú)
- ¹ó±ö: 0.001
- ½ð±Ò: 11305.8
- É¢½ð: 4614
- ºì»¨: 18
- ɳ·¢: 2
- Ìû×Ó: 3146
- ÔÚÏß: 571.7Сʱ
- ³æºÅ: 776014
- ×¢²á: 2009-05-21
- רҵ: ½á¹¹¹¤³Ì
¡ï
Сľ³æ: ½ð±Ò+0.5, ¸ø¸öºì°ü£¬Ð»Ð»»ØÌû
Сľ³æ: ½ð±Ò+0.5, ¸ø¸öºì°ü£¬Ð»Ð»»ØÌû
|
Äã×Ô¼ºµÄ¹«Ê½±íʾµÄº¬ÒåºÍÄãµÄͼµ±ÖÐMµÄ·½ÏòÏà·´£¬Èç¹û°´ÄãµÄͼ£¬Í侨¹«Ê½ÖÐÓ¦¸ÃÊÇx-b/2 ÕâÊÇÁ¦Ñ§Öкܼòµ¥µÄÎÊÌâ°¡¡£ |
6Â¥2014-05-29 07:43:04
7Â¥2014-06-03 15:49:35
8Â¥2014-06-03 15:50:06
͵Ӱ×ÓµÄÈË
Òø³æ (СÓÐÃûÆø)
- Ó¦Öú: 1 (Ó×¶ùÔ°)
- ½ð±Ò: 405.6
- Ìû×Ó: 92
- ÔÚÏß: 12.1Сʱ
- ³æºÅ: 2642836
- ×¢²á: 2013-09-06
- ÐÔ±ð: GG
- רҵ: ½á¹¹¹¤³Ì

9Â¥2014-06-03 20:18:44













»Ø¸´´ËÂ¥
