24小时热门版块排行榜    

北京石油化工学院2026年研究生招生接收调剂公告
查看: 842  |  回复: 3

uenzyme

银虫 (小有名气)

[求助] 救命,关于CYP450,菜鸟看论文看不懂来求助。

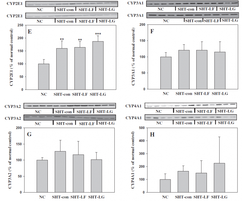
Hepatic expression of CYP isoforms including CYP1A2 (Fig. 3A), 1B1 (Fig. 3B), 2B1 (Fig. 3C), 2C11 (Fig. 3D), 2E1 (Fig. 3E), 3A1
(Fig. 3F), 3A2 (Fig. 3G), and 4A1 (Fig. 3H), were measured in rats treated with SHT extracts twice a day for 1 week. Hepatic expression
of CYP1A2, 1B1, 2B1, 2C11, 3A1, 3A2, and 4A1 did not change with SHT extract treatment. In addition, hepatic CYP1A1 protein
was not detectable in both normal control rats and SHT-treated rats (data not shown). Interestingly, the expression and activity
of CYP2E1 were significantly increased in SHT-con (P < 0.005), SHT-LF (P < 0.005), and SHT-LG (P < 0.001) rats relative to normal
ontrol rats, by 1.60-, 1.65-, and 1.87-fold respectively (Fig. 3E).

关于这个结果图,论文中是这样描述的。CYP2E1活性显著增加了。其他的没有变化。可是从图上看的话,CYP2E1的NC(control)是100%,SHT-con是150%多。而CYP1B1和CYP2B1,CYP4A1的增加量也不少呀。。。而且为啥每个条形图上面Western Blot的色带有两个呀。。名字都一样。。
论文全文在附件里。
救命啊。。。求解答。。不胜感激救命,关于CYP450,菜鸟看论文看不懂来求助。
YY截图20140524134356.png


救命,关于CYP450,菜鸟看论文看不懂来求助。-1
YY截图20140524134416.png
回复此楼

» 本帖附件资源列表

  • 欢迎监督和反馈:小木虫仅提供交流平台,不对该内容负责。
    本内容由用户自主发布,如果其内容涉及到知识产权问题,其责任在于用户本人,如对版权有异议,请联系邮箱:xiaomuchong@tal.com
  • 附件 1 : 发酵CYP.pdf
  • 2014-05-24 12:47:57, 427.92 K

» 猜你喜欢

» 本主题相关价值贴推荐,对您同样有帮助:

已阅   回复此楼   关注TA 给TA发消息 送TA红花 TA的回帖

uenzyme

银虫 (小有名气)

求教啊。。。

[ 发自小木虫客户端 ]
2楼2014-05-25 22:46:50
已阅   回复此楼   关注TA 给TA发消息 送TA红花 TA的回帖

uenzyme

银虫 (小有名气)

没有人可以帮帮我吗。。。
3楼2014-05-26 09:25:19
已阅   回复此楼   关注TA 给TA发消息 送TA红花 TA的回帖

uenzyme

银虫 (小有名气)

求助TAT。。。
4楼2014-05-26 12:55:01
已阅   回复此楼   关注TA 给TA发消息 送TA红花 TA的回帖
相关版块跳转 我要订阅楼主 uenzyme 的主题更新
最具人气热帖推荐 [查看全部] 作者 回/看 最后发表
[考研] 生物学求调剂 +4 15064154688 2026-04-03 4/200 2026-04-06 11:21 by jianfuliu
[考研] 281求调剂 +8 椰子蘑菇 2026-04-06 8/400 2026-04-06 10:38 by 蓝云思雨
[考研] 297分083200求助 +8 aekx 2026-04-05 8/400 2026-04-06 10:35 by imissbao
[考研] 复试调剂 +5 asdasdassda 2026-04-05 5/250 2026-04-06 09:32 by dongzh2009
[考研] 070300化学学硕311分求调剂 +11 梁富贵险中求 2026-04-04 13/650 2026-04-06 07:24 by houyaoxu
[考研] 材料与化工371求调剂 +14 陪琳看海 2026-04-04 15/750 2026-04-06 06:59 by houyaoxu
[考研] 求调剂 +11 熊二想上岸 2026-04-04 11/550 2026-04-05 22:21 by 醉翁wl
[考研] 男生,一志愿沪9生物学071000,初试308求调剂 +3 刘墨墨 2026-04-04 3/150 2026-04-05 08:26 by barlinike
[考研] 材料与化工306分找调剂 +23 沧海轻舟e 2026-04-02 27/1350 2026-04-04 21:52 by laoshidan
[考研] 总分328生物与医药考数学求调剂 +7 aaadim 2026-04-02 9/450 2026-04-03 22:53 by syh9288
[考研] 11408,284分,二战真诚求调剂 +4 12.27 2026-04-02 4/200 2026-04-03 14:14 by dxiaoxin
[考研] 283求调剂 +3 jiouuu 2026-04-03 4/200 2026-04-03 13:28 by jiouuu
[考研] 311求调剂一志愿合肥工业大学 +15 秋二十二 2026-03-30 15/750 2026-04-03 10:19 by linyelide
[考研] 311求调剂 +14 蓝月亮亮 2026-03-30 14/700 2026-04-02 12:18 by 1753564080
[考研] 266分,一志愿电气工程,本科材料,求材料专业调剂 +10 哇呼哼呼哼 2026-04-01 11/550 2026-04-02 11:31 by lnilvy
[考研] 286求调剂 +5 Sa67890. 2026-04-01 7/350 2026-04-01 19:50 by 6781022
[考研] 085600 一志愿9 总分351 求调剂学校 +7 czhcz 2026-03-31 9/450 2026-04-01 19:24 by 无际的草原
[考研] 353求调剂 +4 拉钩不许变 2026-04-01 4/200 2026-04-01 18:10 by 记事本2026
[考研] 求调剂 +4 DADA怪 2026-03-31 4/200 2026-04-01 14:30 by ZXlzxl0425
[考研] 本科211总分289,08工学真心求调剂 +3 utopiaE 2026-03-30 3/150 2026-03-30 23:42 by ms629
信息提示
请填处理意见