| ²é¿´: 863 | »Ø¸´: 0 | |
pangzi814Òø³æ (ÕýʽдÊÖ)
|
[ÇóÖú]
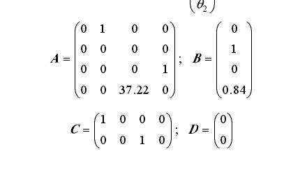
»·ÐÎÒ»¼¶µ¹Á¢°ÚµÄ¿Õ¼ä״̬·½³ÌÔõôת»»³É´«µÝº¯Êý»òÕßÀëÉ¢µÄ
|
|
|
|
|
ÕÒµ½Ò»Ð©Ïà¹ØµÄ¾«»ªÌû×Ó£¬Ï£ÍûÓÐÓÃŶ~ ¿ÆÑдÓСľ³æ¿ªÊ¼£¬ÈËÈËΪÎÒ£¬ÎÒΪÈËÈË
|













»Ø¸´´ËÂ¥
µã»÷ÕâÀïËÑË÷¸ü¶àÏà¹Ø×ÊÔ´