| 查看: 1368 | 回复: 4 | |||
[求助]
求助各位老师,你们写论文或者上课做的各种合成路线图是用什么软件做的? 已有1人参与
|
|
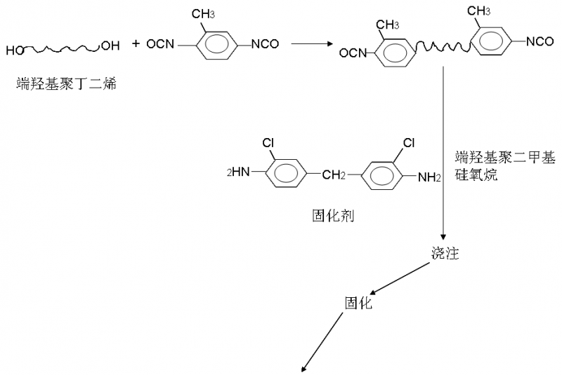
求助各位老师,你们写论文或者上课做的各种合成路线图是用什么软件做的? 能不能附上下载地址啊,小弟在写毕业设计,需要各种高分子的合成路线图,和设想图。谢谢了。小弟金币有限,不是我给的少,我真没有 1.png |
» 猜你喜欢
化工求调剂!
已经有37人回复
材料与化工调剂
已经有39人回复
279学硕食品专业求调剂院校
已经有19人回复
本科生物信息学,总分362 求07 08调剂
已经有7人回复
生物学308分求调剂(一志愿华东师大)做过分子实验
已经有10人回复
化工学硕294分,求导师收留
已经有18人回复
一志愿0703化学招61最终排名62化学求调剂
已经有33人回复
266调剂
已经有11人回复
271求调剂
已经有26人回复
一志愿085502,267分求调剂
已经有18人回复
» 本主题相关商家推荐: (我也要在这里推广)
» 本主题相关价值贴推荐,对您同样有帮助:
论文中的化学合成的模式图用什么软件做?
已经有6人回复

2楼2014-05-20 22:46:56
紫檀幽香
荣誉版主 (著名写手)
檀檀
- 应助: 73 (初中生)
- 贵宾: 0.293
- 金币: 6203.9
- 散金: 2422
- 红花: 68
- 沙发: 4
- 帖子: 1384
- 在线: 418.2小时
- 虫号: 1141619
- 注册: 2010-11-08
- 专业: 高分子物理与高分子物理化
- 管辖: 高分子

3楼2014-05-21 07:26:14
橡胶人
荣誉版主 (文坛精英)
-

专家经验: +1427 - PEPI: 3
- 应助: 7517 (副教授)
- 贵宾: 9.047
- 金币: 78581.7
- 散金: 259
- 红花: 341
- 沙发: 1
- 帖子: 18712
- 在线: 2927小时
- 虫号: 2435084
- 注册: 2013-04-24
- 性别: GG
- 专业: 橡胶及弹性体
- 管辖: 标准与专利
4楼2014-05-21 08:54:02
5楼2014-05-21 20:12:02













回复此楼