版块导航
正在加载中...
客户端APP下载
论文辅导
调剂小程序
登录
注册
帖子
帖子
用户
本版
应《网络安全法》要求,自2017年10月1日起,未进行实名认证将不得使用互联网跟帖服务。为保障您的帐号能够正常使用,请尽快对帐号进行手机号验证,感谢您的理解与支持!
24小时热门版块排行榜
>
论坛更新日志
(3581)
>
虫友互识
(644)
>
导师招生
(419)
>
文献求助
(373)
>
硕博家园
(160)
>
考博
(145)
>
考研
(134)
>
休闲灌水
(128)
>
博后之家
(103)
>
招聘信息布告栏
(86)
>
基金申请
(50)
>
论文投稿
(45)
>
教师之家
(43)
>
论文道贺祈福
(39)
>
公派出国
(37)
>
攻关文献(高奖励)
(33)
小木虫论坛-学术科研互动平台
»
化学化工区
»
电化学
»
电化学传感器
»
我这个dpv正常吗,我怎么看的怪怪的
5
1/1
返回列表
查看: 1147 | 回复: 4
只看楼主
@他人
存档
新回复提醒
(忽略)
收藏
在APP中查看
411047313
银虫
(小有名气)
应助: 0
(幼儿园)
金币: 433.2
散金: 562
红花: 4
帖子: 233
在线: 398.7小时
虫号: 2107383
注册: 2012-11-05
性别: GG
专业: 药物化学
[
求助
]
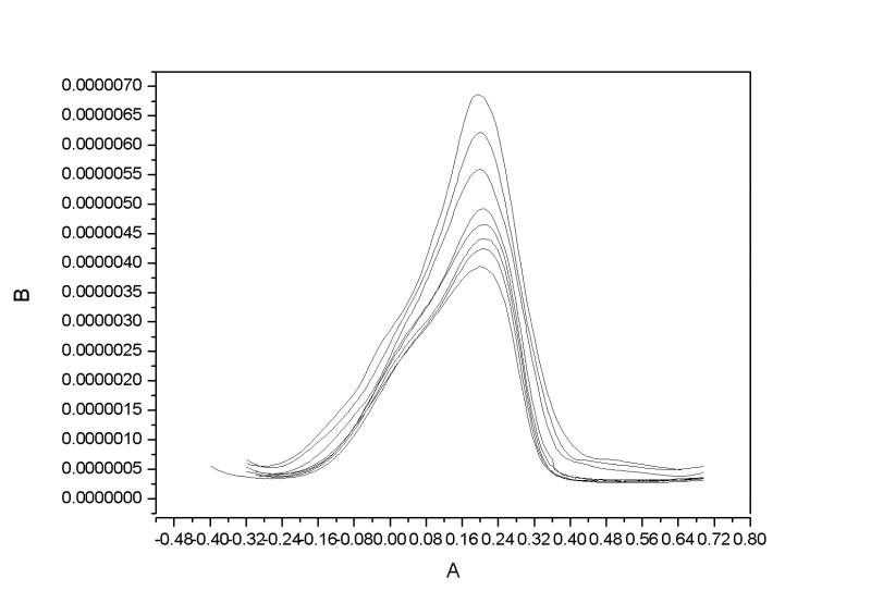
我这个dpv正常吗,我怎么看的怪怪的
已有2人参与
刚接触不大懂,你们看下这个dpv正常吗
Graph1.jpg
回复此楼
» 猜你喜欢
德国Karlsruhe Institute of Technology招收电化学储能及联合培养CSC博士等
已经有20人回复
德国Karlsruhe Institute of Technology招收电化学储能及联合培养CSC博士
已经有24人回复
物理化学论文润色/翻译怎么收费?
已经有118人回复
德国Karlsruhe Institute of Technology招收电化学储能及联合培养CSC博士
已经有1人回复
固态锂金属电池迁移数计算求助
已经有1人回复
荷兰奈梅亨大学赵文博与Galimberti课题组招收理论计算CSC博士 2000 欧元/月+房补
已经有0人回复
26储能博士申请自荐
已经有23人回复
上海交通大学--宁波东方理工大学电池方向博士招生
已经有10人回复
海南大学全国重点实验室杨金霖老师招收储能电池方向博士生(2026年3月报名,9月入学)
已经有1人回复
海南师范大学2026年博士研究生招收 (在职想提升学历人员可报考) 申请考核制+普通招考
已经有1人回复
申博求助
已经有0人回复
» 本主题相关价值贴推荐,对您同样有帮助:
当 心有疑惧不安时,看唐僧如何化解---瞬间消除心魔安定身心
已经有46人回复
2014青年基金模板怪怪的,大家交流下你们是怎么使用该模板的
已经有5人回复
液体中的离子吸附中,化学吸附等温线的横坐标是压强吗?怎么感觉怪怪的
已经有8人回复
大家都来 看看这个怪异的 恒压滴液漏斗的作用?
已经有16人回复
XP重装系统后,Windows界面变得怪怪的,怎么办?
已经有11人回复
秉忠贞之志,守谦退之节
1楼
2014-05-16 19:19:33
已阅
回复此楼
关注TA
给TA发消息
送TA红花
TA的回帖
411047313
银虫
(小有名气)
应助: 0
(幼儿园)
金币: 433.2
散金: 562
红花: 4
帖子: 233
在线: 398.7小时
虫号: 2107383
注册: 2012-11-05
性别: GG
专业: 药物化学
@
huaiqing
@
Jackcd12
@
竹木一休
麻烦你们看下
回复此楼
秉忠贞之志,守谦退之节
2楼
2014-05-16 19:31:40
已阅
回复此楼
关注TA
给TA发消息
送TA红花
TA的回帖
竹木一休
木虫
(小有名气)
应助: 34
(小学生)
金币: 1904.3
散金: 10
红花: 2
帖子: 230
在线: 246小时
虫号: 1770021
注册: 2012-04-21
性别: GG
专业: 无机材料化学
这个木有接触过......
赞
一下
(1人)
回复此楼
看看,学学,想想
3楼
2014-05-16 21:34:15
已阅
回复此楼
关注TA
给TA发消息
送TA红花
TA的回帖
lp1989
新虫
(小有名气)
应助: 1
(幼儿园)
金币: 1330.6
帖子: 127
在线: 25.1小时
虫号: 2154614
注册: 2012-11-29
性别: GG
专业: 分析仪器与试剂
【答案】应助回帖
★ ★ ★ ★ ★
感谢参与,应助指数 +1
411047313: 金币+5,
★★★★★
最佳答案, 谢谢你
2014-05-20 19:13:23
这个做的不是挺好的吗随着浓度的增加,DPV的峰电流在增加
[ 发自小木虫客户端 ]
赞
一下
回复此楼
4楼
2014-05-17 00:22:03
已阅
回复此楼
关注TA
给TA发消息
送TA红花
TA的回帖
胡琪
铁杆木虫
(著名写手)
ECEPI: 3
应助: 830
(博后)
金币: 10231.1
散金: 500
红花: 68
帖子: 2976
在线: 881.6小时
虫号: 1346956
注册: 2011-07-15
性别: GG
专业: 有机合成
【答案】应助回帖
★ ★ ★ ★ ★
感谢参与,应助指数 +1
411047313: 金币+5,
★★★★★
最佳答案, 谢谢你
2014-05-20 19:13:34
这个是随着浓度增加而增加怎么不正常了,你是说基线不平还是什么的,出现这个情况很正常
赞
一下
回复此楼
天地任我行
5楼
2014-05-17 19:40:58
已阅
回复此楼
关注TA
给TA发消息
送TA红花
TA的回帖
相关版块跳转
有机交流
有机资源
高分子
无机/物化
分析
催化
工艺技术
化工设备
石油化工
精细化工
电化学
环境
SciFinder/Reaxys
我要订阅楼主
411047313
的主题更新
5
1/1
返回列表
如果回帖内容含有宣传信息,请如实选中。否则帐号将被全论坛禁言
普通表情
龙
兔
虎
猫
百度网盘
|
360云盘
|
千易网盘
|
华为网盘
在新窗口页面中打开自己喜欢的网盘网站,将文件上传后,然后将下载链接复制到帖子内容中就可以了。
信息提示
关闭
请填处理意见
关闭
确定