24小时热门版块排行榜    

北京石油化工学院2026年研究生招生接收调剂公告
查看: 1867  |  回复: 0

taoqide

新虫 (初入文坛)

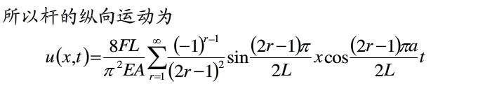
[求助] 一端固定一端自由的弹性杆纵向振动

机械振动基础教科书里面的例题,一个悬臂梁,一端固定,一端自由,自由端受一轴向力后释放,求3/5L处随时间变化的位移。
示意图和公式都在附件里面,杆的物性参数有长度为1米,密度用dens表示,t=0时刻单位长度的位移量si=0.0001,书上有现成的公式,我算了一下周期是T=0.41ms,我简单编了一个程序,计算一个周期3/5L处的位移变化,求出来图形与实际不对,不知错在那下面是我的程序
#include<stdio.h>
#include<math.h>
#define PI 3.1415926
void main()
{
        int m,n,p,b=1;
        double a=0,u,t,dens=8027,E=193e9,dt=1e-7,si=0.0001;
        double c=sqrt(E/dens);
    FILE * fid=fopen("displacement.txt","w";

    for(n=1;n<=4100;n++)

        {
                t=n*dt;
                for(m=1;m<=10;m++)
        {
                for(p=1;p<=m;p++)
                {
                   b=b*(-1);
                }

                a=a+b*sin(0.3*(2*m-1)*PI)*cos((2*m-1)*c*PI*t/2)/((2*m-1)*(2*m-1));
    }

        u=8*si*a/(PI*PI);
        fprintf(fid,"%2.5e\n",u);

        }
fclose(fid);
        printf("finish\n";
}
前面10xe-7秒的位移量在下面

6.56E-05
1.31E-04
1.97E-04
2.62E-04
3.28E-04
3.93E-04
4.59E-04
5.25E-04
5.90E-04
6.56E-04
理论上0时刻位移量应该是6E-05,上面十个数据每个的间隔是e-7秒,很短,位移量应该是缓慢减小的,程序出来的数据是位移量增加的,不知哪里出来问题,求大神指点

一端固定一端自由的弹性杆纵向振动
1.jpg


一端固定一端自由的弹性杆纵向振动-1
2.jpg
回复此楼
已阅   回复此楼   关注TA 给TA发消息 送TA红花 TA的回帖

智能机器人

Robot (super robot)

我们都爱小木虫

找到一些相关的精华帖子,希望有用哦~

科研从小木虫开始,人人为我,我为人人
相关版块跳转 我要订阅楼主 taoqide 的主题更新
最具人气热帖推荐 [查看全部] 作者 回/看 最后发表
[考研] 291求调剂 +7 Y-cap 2026-03-29 10/500 2026-04-04 15:02 by Y-cap
[考研] 材料专硕322分 +7 哈哈哈吼吼吼哈 2026-04-04 7/350 2026-04-04 12:09 by asdhh1991
[考研] 334求调剂 +8 曾仰之 2026-04-03 8/400 2026-04-04 11:16 by w_xuqing
[考研] 材料调剂 +17 一样YWY 2026-04-02 18/900 2026-04-04 11:14 by 猪会飞
[考研] 一志愿郑州大学材料与化工085600,求调剂 +19 吃的不少 2026-04-02 19/950 2026-04-04 10:26 by 来看流星雨10
[考研] 343求调剂085601 +6 要努力学习x 2026-03-29 7/350 2026-04-03 19:49 by 百灵童888
[考研] 301求调剂 +14 A_JiXing 2026-04-01 14/700 2026-04-03 18:31 by ls刘帅
[考研] 298求调剂 +5 种圣赐 2026-03-28 5/250 2026-04-03 12:26 by xingguangj
[考研] 一志愿中国科学院大学265求调剂 +9 恬淡ye 2026-03-31 10/500 2026-04-03 11:10 by txp1986
[考研] 289求调剂 +4 Acesczlo 2026-03-29 5/250 2026-04-03 10:09 by 不168
[考研] 材料调剂 +8 懒羊羊轻置玉臀 2026-04-02 8/400 2026-04-02 22:03 by liu823948201
[考研] 材料调剂 +7 一样YWY 2026-04-02 7/350 2026-04-02 21:49 by dongzh2009
[考研] 26考研调剂 +4 Wnz.20030617 2026-04-01 5/250 2026-04-02 16:11 by 1939136013狗壮
[考研] 286分调剂 +20 Faune 2026-03-30 22/1100 2026-04-02 13:24 by clyblh
[考研] 266求调剂 +4 学员97LZgn 2026-04-02 4/200 2026-04-02 09:52 by yulian1987
[考研] 一志愿346上海大学生物学 +3 上海大学346调剂 2026-04-01 3/150 2026-04-02 08:36 by w虫虫123
[考研] 材料调剂 +11 一样YWY 2026-03-31 11/550 2026-04-01 22:25 by zhouyuwinner
[考研] 江苏科技大学招材料研究生 +4 Su032713. 2026-04-01 5/250 2026-04-01 22:03 by cccchenso
[考研] 085410人工智能 初试316分 求调剂 +3 残星拂曙 2026-03-31 3/150 2026-04-01 11:09 by 小熊raider
[考研] 293求调剂 +3 末未mm 2026-03-30 5/250 2026-03-30 17:23 by 王保杰33
信息提示
请填处理意见