| 查看: 699 | 回复: 3 | ||
[求助]
fortran 数值积分时候,奇点怎么去除
|
|
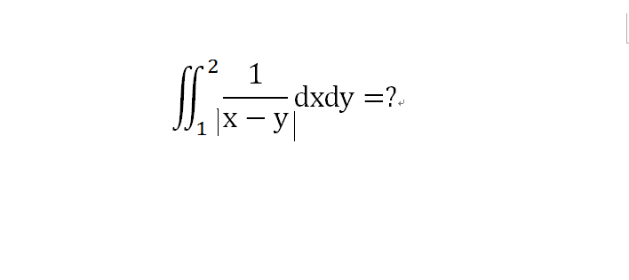
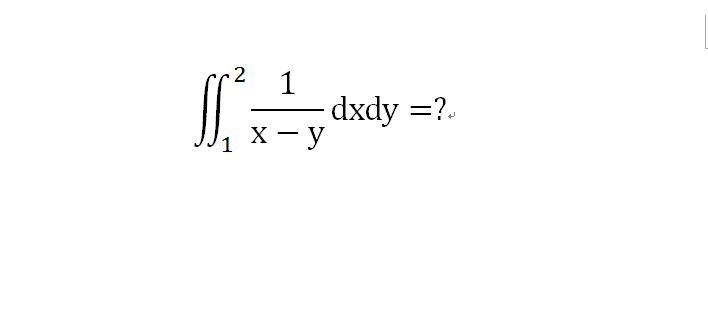
在做fortran积分时候发现,分母会出现零的情况,x,y的积分上下限都是(1,2)也就是说积分出现了奇点,这样的情况怎样解决?怎样扣除奇异点或者建议看哪本书,调用哪个程序,给提示一下谢谢。 捕获.PNG 捕获.PNG |
» 猜你喜欢
08工科275分求调剂
已经有13人回复
材料工程322分
已经有6人回复
一志愿北京科技大学085601材料工程英一数二初试总分335求调剂
已经有7人回复
274求调剂
已经有5人回复
【求调剂】新能源材料本科,一志愿211,初试321
已经有3人回复
材料考研调剂
已经有3人回复
材料调剂
已经有12人回复
英一数一408,总分284,二战真诚求调剂
已经有14人回复
085410 一志愿211 22408分数359求调剂
已经有4人回复
271求调剂
已经有19人回复
» 本主题相关价值贴推荐,对您同样有帮助:
fortran中如何求奇点在边界的积分~~
已经有5人回复
fortran_19
铜虫 (正式写手)
- 应助: 3 (幼儿园)
- 金币: 4260
- 红花: 3
- 帖子: 759
- 在线: 447小时
- 虫号: 3008143
- 注册: 2014-03-01
- 专业: 机器人学及机器人技术
2楼2016-01-09 11:16:20
3楼2016-01-10 09:52:31
fortran_19
铜虫 (正式写手)
- 应助: 3 (幼儿园)
- 金币: 4260
- 红花: 3
- 帖子: 759
- 在线: 447小时
- 虫号: 3008143
- 注册: 2014-03-01
- 专业: 机器人学及机器人技术
4楼2016-01-10 12:20:06














回复此楼