| 查看: 364 | 回复: 4 | |||
[求助]
求答案 已有1人参与
|
|
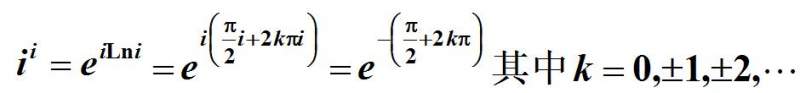
已知 i^i=0.207879576, 可是 i^i 还有无数个可能值,哪些值怎么计算? [ Last edited by feixiaolin on 2014-5-9 at 15:29 ] |
» 猜你喜欢
上海电力大学材料防护与新材料重点实验室招收调剂研究生(材料、化学、电化学,环境)
已经有4人回复
材料学求调剂
已经有6人回复
303求调剂
已经有5人回复
一志愿武理085500机械专业总分300求调剂
已经有7人回复
考研调剂
已经有4人回复
281求调剂
已经有4人回复
0805 316求调剂
已经有6人回复
085601求调剂总分293英一数二
已经有3人回复
08工学调剂
已经有17人回复
340求调剂
已经有4人回复
feixiaolin
荣誉版主 (文坛精英)
-

专家经验: +518 - 应助: 942 (博后)
- 贵宾: 1.275
- 金币: 3880
- 散金: 58785
- 红花: 532
- 沙发: 11
- 帖子: 24215
- 在线: 2601.8小时
- 虫号: 2139575
- 注册: 2012-11-21
- 专业: 光学信息获取与处理
- 管辖: 数学
2楼2014-05-09 15:37:31
feixiaolin
荣誉版主 (文坛精英)
sweety: 屏蔽内容, 错上附件 2014-05-09 17:51:19
|
本帖内容被屏蔽 |
3楼2014-05-09 16:41:37
4楼2014-05-09 16:49:34
5楼2014-05-09 16:52:07













回复此楼