| 查看: 1780 | 回复: 2 | |||
hustdragon木虫 (小有名气)
|
[求助]
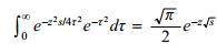
互补误差函数erfc(1/sqrt(t))拉普拉斯变换推导
|
||
|
|
|||
feixiaolin荣誉版主 (文坛精英)
|
|||
|
2楼2014-05-09 11:48:02
|
|
||
hustdragon木虫 (小有名气)
|
|||
|
3楼2014-05-09 11:57:32
|
|













回复此楼