| 查看: 2519 | 回复: 15 | |||
[求助]
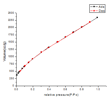
活性碳纤维的氮气吸脱附图,感觉不像常规活性碳吸附的图,求大神降临!!! 已有2人参与
|
|||
|
|
|||
zyhou专家顾问 (文坛精英)
|
|||
|
2楼2014-05-06 18:43:29
|
|
||
|
3楼2014-05-07 09:05:44
|
|
||
|
4楼2014-05-07 19:42:12
|
|
||
zyhou专家顾问 (文坛精英)
|
|||
|
5楼2014-05-07 19:49:00
|
|
||
|
6楼2014-05-08 09:49:25
|
|
||
zyhou专家顾问 (文坛精英)
|
|||
|
7楼2014-05-10 18:55:00
|
|
||
上官小仙木虫 (著名写手)
前世今生
|
【答案】应助回帖
★ ★
jxrtxx(qixingzhen代发): 金币+2, 多谢回帖,欢迎常来交流~ 2014-05-23 13:54:19
|
||
![]() |
|||
|
8楼2014-05-12 17:31:38
|
|
||
|
9楼2014-05-13 15:01:19
|
|
||
|
10楼2014-05-13 15:15:01
|
|














回复此楼
