| 查看: 2455 | 回复: 1 | |
arthur1银虫 (初入文坛)
|
[求助]
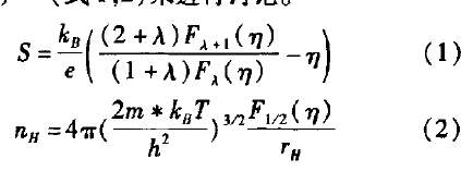
怎么用SPB模型算PbTe碲化铅的S塞贝克系数和n载流子浓度的关系(Pisarenko plot)?急 已有1人参与
|
![]() |
|
|
|
|
穿越千年版主 (著名写手)
寂寞读书的小和尚
|
|
![]() |
|
|
2楼2014-05-10 07:59:17
|
|














回复此楼