| 查看: 573 | 回复: 3 | |
[求助]
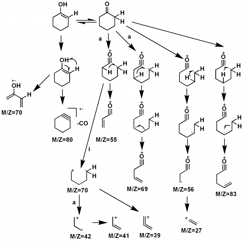
环烯醇EI怎么开裂 已有1人参与
|
|
|
|
|
wy19871124新虫 (职业作家)
质谱首席顾问
|
【答案】应助回帖
★ ★ ★ ★ ★ ★ ★ ★ ★ ★ ★ ★ ★ ★ ★ ★ ★ ★ ★ ★ ★ ★ ★ ★ ★ ★ ★ ★ ★ ★ ★ ★ ★ ★ ★ ★ ★ ★ ★ ★ ★ ★ ★ ★ ★ ★ ★ ★ ★ ★ ★ ★ ...
感谢参与,应助指数 +1 费姚永芬: 金币+1, O(∩_∩)O谢谢,欢迎常来分析版交流 2014-04-30 12:28:14 metal: 金币+10 2014-04-30 17:53:54 枫叶子2006: 金币+50, 替楼主代发 2014-05-03 14:53:34 |
|
2楼2014-04-30 11:05:18
|
|
|
3楼2014-04-30 17:53:45
|
|
wy19871124新虫 (职业作家)
质谱首席顾问
|
|
|
4楼2014-05-01 11:08:52
|
|













回复此楼