| 查看: 313 | 回复: 0 | ||
clq672555985新虫 (小有名气)
|
[求助]
CCT曲线
|
|
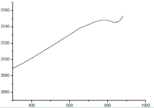
gleeble测的CCT曲线,在图中只能观察到铁素体相变开始线和珠光体相变开始线,珠光体相变终止线看不到,有人说是因为珠光体反应太快导致看不出来了,这个说法正确吗???如果正确的话我在图中怎么标比较好 附图是膨胀曲线 1.jpg |
» 猜你喜欢
谈谈两天一夜的“延安行”
已经有15人回复
EST投稿状态问题
已经有6人回复
职称评审没过,求安慰
已经有15人回复
垃圾破二本职称评审标准
已经有11人回复
投稿Elsevier的Neoplasia杂志,到最后选publishing options时页面空白,不能完成投稿
已经有16人回复
毕业后当辅导员了,天天各种学生超烦
已经有4人回复
聘U V热熔胶研究人员
已经有10人回复
求助文献
已经有3人回复
投稿返修后收到这样的回复,还有希望吗
已经有8人回复
三无产品还有机会吗
已经有6人回复













回复此楼