版块导航
正在加载中...
客户端APP下载
论文辅导
申博辅导
登录
注册
帖子
帖子
用户
本版
应《网络安全法》要求,自2017年10月1日起,未进行实名认证将不得使用互联网跟帖服务。为保障您的帐号能够正常使用,请尽快对帐号进行手机号验证,感谢您的理解与支持!
24小时热门版块排行榜
>
论坛更新日志
(2404)
>
虫友互识
(133)
>
导师招生
(106)
>
硕博家园
(75)
>
文献求助
(68)
>
博后之家
(37)
>
考研
(37)
>
论文投稿
(33)
>
基金申请
(30)
>
休闲灌水
(27)
>
公派出国
(23)
>
考博
(21)
>
招聘信息布告栏
(15)
>
教师之家
(15)
>
版块工场
(12)
>
论文道贺祈福
(11)
小木虫论坛-学术科研互动平台
»
计算模拟区
»
计算模拟
»
公式中含有积分符 如何在m文件中编辑此公式
1
1/1
返回列表
查看: 301 | 回复: 0
只看楼主
@他人
存档
新回复提醒
(忽略)
收藏
在APP中查看
zimiao
金虫
(小有名气)
应助: 0
(幼儿园)
金币: 1096.1
红花: 1
帖子: 179
在线: 109.4小时
虫号: 2962727
注册: 2014-02-11
性别: GG
专业: 控制理论与方法
[
求助
]
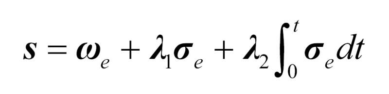
公式中含有积分符 如何在m文件中编辑此公式
公式表达如下 我自己用的是 int() 但是matlab仿真显示没有定义int,不知如何?敬请高手指点迷津!!!
W[Y0DOAO4)L4ZHZT]RR8WA9.jpg
回复此楼
» 猜你喜欢
新西兰Robinson研究所招收全奖PhD
已经有0人回复
石墨烯转移--二氧化硅衬底石墨烯
已经有0人回复
物理学I论文润色/翻译怎么收费?
已经有84人回复
笼目材料中量子自旋液体基态的证据
已经有0人回复
数学教学论硕士可以读数学物理博士吗?
已经有0人回复
德国亥姆霍兹Hereon中心汉堡分部招镁合金腐蚀裂变SCC课题方向2026公派博士生
已经有4人回复
澳门大学 应用物理及材料工程研究院 潘晖教授课题组诚招博士后
已经有11人回复
求助NH4V4O10晶体的CIF文件
已经有0人回复
英国全奖博士招聘-深度学习与量子物理
已经有0人回复
间接带隙半导体有效质量求助
已经有1人回复
投稿chemical physical letters不送审?
已经有2人回复
踏实做事,不要着急,你想要的,岁月都会给你!
1楼
2014-04-21 20:22:34
已阅
回复此楼
关注TA
给TA发消息
送TA红花
TA的回帖
智能机器人
Robot
(super robot)
我们都爱小木虫
找到一些相关的精华帖子,希望有用哦~
Mathtype公式位置偏上修改和批量修改公式
已经有35人回复
用于word文档中辅助编辑各类数学公式的软件
已经有3人回复
上传Word编辑的Manuscript,被转成PDF之后,文字中的公式显示不出来,怎么处理?
已经有9人回复
公式的格式编辑
已经有4人回复
利用公式编辑器插入的公式是JPG格式吗,还用再转换格式吗?
已经有12人回复
word里公式的排版和对齐问题,求助!(用的Mathtype编辑公式)
已经有32人回复
公式编辑器出错了,如何恢复公式编辑器?
已经有2人回复
excel如何编辑平方和开根号的公式?
已经有4人回复
公式编辑器编写的符号在英文论文中要不要前后加空格?
已经有9人回复
Matlab软件怎么编辑公式
已经有3人回复
打算不用公式编辑器了,在word中直接输入,这样不用转成JPG了吧?
已经有11人回复
公式编辑器快捷键 轻松书写公式【转载】
已经有97人回复
Latex编辑公式后产生两个公式号怎么解决
已经有4人回复
如何让论文中用mathtype编辑的公式正常显示呢
已经有5人回复
Endnote怎么编辑公式
已经有4人回复
【分享】高效公式编辑器aurora
已经有7人回复
【分享】在线公式编辑器【已搜无重复】
已经有283人回复
[原创心得]将 Mathematica 推导出来的公式直接导入 WORD 文件的方法
已经有24人回复
点击这里搜索更多相关资源
科研从小木虫开始,人人为我,我为人人
相关版块跳转
第一性原理
量子化学
计算模拟
分子模拟
仿真模拟
程序语言
我要订阅楼主
zimiao
的主题更新
1
1/1
返回列表
如果回帖内容含有宣传信息,请如实选中。否则帐号将被全论坛禁言
普通表情
龙
兔
虎
猫
百度网盘
|
360云盘
|
千易网盘
|
华为网盘
在新窗口页面中打开自己喜欢的网盘网站,将文件上传后,然后将下载链接复制到帖子内容中就可以了。
信息提示
关闭
请填处理意见
关闭
确定