| 查看: 214 | 回复: 0 | ||
[求助]
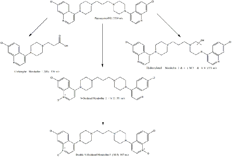
求助,如何从小鼠尿液中提取到至少一种磷酸哌喹的代谢物?
|
|
已经知道磷酸哌喹在人体和动物体内的代谢物结构了,现在想给老鼠给药收集尿液得到至少一种代谢物的对照品,但是本人才开始接触实验,没有多少经验,不想通过液相制备得到,不知道还有其他什么方法?请问有人帮着分析一下吗?非常感谢! PQ1_看图王.gif |
» 猜你喜欢
能源材料化学课题组招收硕士研究生8-10名
已经有11人回复
求材料调剂
已经有9人回复
材料专硕英一数二306
已经有5人回复
085600材料与化工调剂 324分
已经有9人回复
0703化学调剂
已经有12人回复
0703化学 305求调剂
已经有4人回复
0703化学调剂,求各位老师收留
已经有10人回复
271材料工程求调剂
已经有5人回复
281求调剂(0805)
已经有16人回复
304求调剂
已经有6人回复













回复此楼
点击这里搜索更多相关资源