| 查看: 2757 | 回复: 12 | ||
[求助]
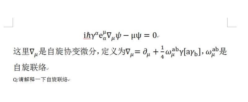
弯曲空间中的狄拉克方程 已有3人参与
|
||
|
|
||
fyl7铁杆木虫 (正式写手)
|
【答案】应助回帖
★ ★ ★ ★ ★ ★ ★ ★ ★ ★
感谢参与,应助指数 +1 Schicksall: 金币+10, ★有帮助 2014-04-04 22:12:49
» 本帖已获得的红花(最新10朵) |
|
|
2楼2014-04-04 11:34:04
|
|
|
华丽的飘过版主 (著名写手)
|
||
|
3楼2014-04-04 11:53:28
|
|
|
|
4楼2014-04-04 22:12:26
|
|
|
|
5楼2014-04-04 22:13:58
|
|
|
华丽的飘过版主 (著名写手)
|
【答案】应助回帖
★ ★ ★ ★ ★ ★ ★ ★ ★ ★
Schicksall: 金币+10 2014-04-14 08:42:53
» 本帖已获得的红花(最新10朵) |
|
|
6楼2014-04-05 02:26:39
|
|
|
userhung禁虫 (文学泰斗)
木虫博士
|
||
|
7楼2014-04-05 07:30:00
|
|
|
|
8楼2014-04-05 11:38:17
|
|
|
|
9楼2014-04-05 11:39:08
|
|
|
fyl7铁杆木虫 (正式写手)
|
» 本帖已获得的红花(最新10朵) |
|
|
10楼2014-04-05 12:00:32
|
|














回复此楼
Schicksall