版块导航
正在加载中...
客户端APP下载
论文辅导
调剂小程序
登录
注册
帖子
帖子
用户
本版
应《网络安全法》要求,自2017年10月1日起,未进行实名认证将不得使用互联网跟帖服务。为保障您的帐号能够正常使用,请尽快对帐号进行手机号验证,感谢您的理解与支持!
24小时热门版块排行榜
>
论坛更新日志
(3479)
>
虫友互识
(898)
>
导师招生
(125)
>
休闲灌水
(122)
>
文献求助
(114)
>
博后之家
(97)
>
基金申请
(96)
>
论文投稿
(91)
>
教师之家
(49)
>
硕博家园
(46)
>
药学
(32)
>
考博
(30)
>
招聘信息布告栏
(15)
>
海外博后
(14)
>
考研
(14)
>
公派出国
(12)
小木虫论坛-学术科研互动平台
»
材料区
»
微米和纳米
»
前沿热点
»
[热点推广]聚苯胺 金属 功能材料
5
2/1
返回列表
查看: 5454 | 回复: 206
只看楼主
@他人
存档
新回复提醒
(忽略)
收藏
在APP中查看
当前只显示满足指定条件的回帖,点击这里查看本话题的所有回帖
11900490
木虫
(知名作家)
MN-EPI: 1
应助: 198
(高中生)
贵宾: 0.002
金币: 4185.8
帖子: 6270
在线: 1673.4小时
虫号: 465726
[交流]
[热点推广]聚苯胺 金属 功能材料
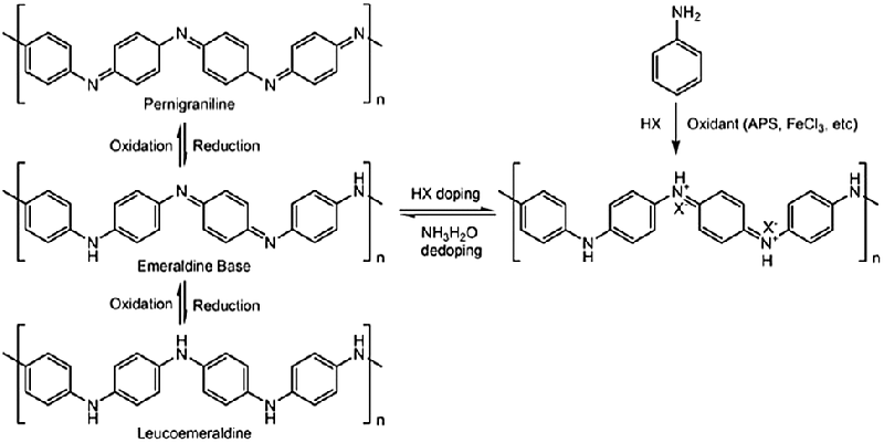
聚苯胺 + 金属 = 功能材料 (包括PANI膜)
Multifunctional polymer–metal nanocomposites via direct chemical reduction by conjugated polymers
c3cs60380f-s1_hi-res.gif
c3cs60380f-f2_hi-res.gif
c3cs60380f-f10_hi-res.gif
pingxu的个人主页
c3cs60380f_页面_12.png
c3cs60380f_页面_01.png
c3cs60380f_页面_02.png
c3cs60380f_页面_03.png
c3cs60380f_页面_04.png
c3cs60380f_页面_05.png
c3cs60380f_页面_06.png
c3cs60380f_页面_07.png
c3cs60380f_页面_08.png
c3cs60380f_页面_09.png
c3cs60380f_页面_10.png
c3cs60380f_页面_11.png
[
Last edited by 11900490 on 2014-3-30 at 17:48
]
回复此楼
» 猜你喜欢
请问对标matlab的开源软件octave的网站https://octave.org为什么打不开?
已经有1人回复
求助两种BiOBr晶体的CIF文件(卡片号为JCPDS 09-0393与JCPDS 01-1004 )
已经有0人回复
金属材料论文润色/翻译怎么收费?
已经有107人回复
哈尔滨工程大学材化学院国家级青年人才-26年硕士招生
已经有0人回复
求助Fe-TCPP、Zn-TCPP的CIF文件,或者CCDC号
已经有0人回复
XPS/?λXPS
已经有0人回复
河北大学-26年秋季入学化学博士招生
已经有0人回复
» 本主题相关商家推荐:
(我也要在这里推广)
高级回复
» 抢金币啦!回帖就可以得到:
查看全部散金贴
山东征女友,坐标济南
+
1
/173
坐标广州,征女友
+
2
/140
ChineseResearchLaTeX: 开源、免费的vibe coding辅助国自然写作
+
1
/81
贺电中定位于“积极作用”,是不是对基金委工作不够满意?
+
1
/74
一个陌生女人的来信
+
1
/61
上海理工大学2026年系统科学学科海外骨干教师招聘启事
+
2
/38
海南大学海洋技术与装备学院-科研助理招聘(可读博)--膜分离水处理方向
+
1
/30
清华大学深圳国际研究生院招聘-博士后(长期有效)
+
1
/28
2026年天津科技大学“新能源催化与膜材料团队”研究生招生
+
1
/18
上海交通大学-宁波东方理工大学联合培养博士生 – 力学
+
1
/10
全奖博士 英国利物浦大学+台湾清华大学 双博士学位
+
1
/6
中北大学冯瑞教授*开山大弟子*招募
+
1
/5
26申博自荐求博导-生物传感分析方向
+
1
/5
墨尔本大学(QS13)急招CSC博士(补齐全奖)/访问学者/博士后 (材料/生物医学/器官芯片等)
+
1
/4
澳科大招收2026年秋季药物递送/生物材料方向硕士研究生(3月5日18:00报名截止)
+
1
/3
德国图宾根大学诚招全奖岗位制博士(地下流固化学反应耦合数值模拟方向)
+
1
/2
澳科大招收2026秋季全奖博士研究生(药剂学/生物材料方向,3月5日18:00截止)
+
1
/1
西电科大招博士和科研助理: 结构生物学/纳米孔/分子动力学
+
1
/1
【科研助理招聘-北京理工大学-集成电路与电子学院-国家杰青团队】
+
1
/1
上海大学生物有机电子材料及器件团队博士研究生招聘
+
1
/1
1楼
2014-03-29 15:46:29
已阅
回复此楼
关注TA
给TA发消息
送TA红花
TA的回帖
liuhonghai
捐助贵宾
(职业作家)
应助: 88
(初中生)
金币: 102.6
帖子: 3318
在线: 225小时
虫号: 1005749
★
11900490(金币+2): 谢谢参与
祝福楼主!希望楼主好运!
赞
一下
回复此楼
高级回复
62楼
2014-03-29 17:46:12
已阅
回复此楼
关注TA
给TA发消息
送TA红花
TA的回帖
查看全部 207 个回答
azure365
金虫
(正式写手)
应助: 11
(小学生)
金币: 445.7
帖子: 724
在线: 284.3小时
虫号: 1054705
★
11900490(金币+2): 谢谢参与
小手一抖,金币拿走!
赞
一下
回复此楼
8楼
2014-03-29 16:22:50
已阅
回复此楼
关注TA
给TA发消息
送TA红花
TA的回帖
简单回复
qianys
10楼
2014-03-29 16:25
回复
11900490(金币+2): 谢谢参与
查看全部 207 个回答
如果回帖内容含有宣传信息,请如实选中。否则帐号将被全论坛禁言
普通表情
龙
兔
虎
猫
高级回复
(可上传附件)
百度网盘
|
360云盘
|
千易网盘
|
华为网盘
在新窗口页面中打开自己喜欢的网盘网站,将文件上传后,然后将下载链接复制到帖子内容中就可以了。
信息提示
关闭
请填处理意见
关闭
确定