| 查看: 884 | 回复: 0 | ||
[交流]
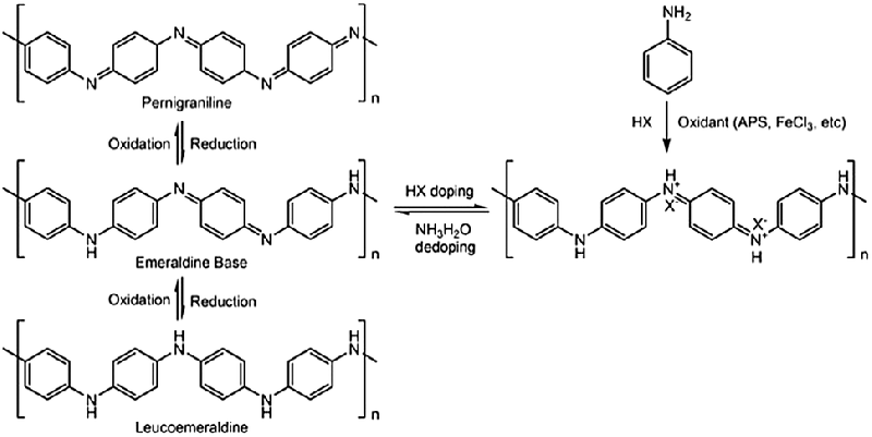
PANI膜的制备和应用!
|
找到一些相关的精华帖子,希望有用哦~
金属有机骨架中客体物种
已经有3人回复
金属有机骨架化合物是否只用单一的配体!
已经有5人回复
Nature Nanotechnology 最新综述:拉曼光谱研究石墨烯性能
已经有642人回复
为什么聚苯胺在某些金属表面不能聚合
已经有3人回复
金属粉末的研磨
已经有13人回复
好心人帮帮忙...急。。。。。
已经有7人回复
金属家族里的“变形金刚”——被誉为“神奇功能材料”的形状记忆合金
已经有15人回复
金属氧化物的功函数
已经有8人回复
金属电极层是什么意思?
已经有7人回复
就目前发展情况来看,金属基复合材料的前景,应用前景以及在功能材料方面有哪些前景
已经有7人回复
学术热点之光热转换纳米材料
已经有48人回复
近红外吸收光学材料
已经有10人回复
【求助】求推荐聚苯胺与金属氧化物的复合材料的相关文献
已经有7人回复
09年晶体牛人名家实验室链接介绍(回帖有金币)
已经有161人回复
科研从小木虫开始,人人为我,我为人人













回复此楼
点击这里搜索更多相关资源