| 查看: 322 | 回复: 3 | ||
[求助]
阻抗求助 已有1人参与
|
|
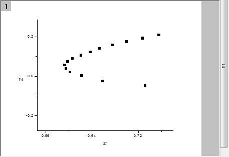
做出来的阻抗图是这样的前面都带一个弯钩,不知道是什么原因,求解释!!! 频率范围是0.01~100000 振幅是0.005 19FB8V4C$CONV}(%ZJ91IBG.jpg P2A{5S$)J$7ZPG9OEAW1%1M.jpg |
» 猜你喜欢
070300一志愿211,312分求调剂院校
已经有14人回复
26年储能、电池方向博士申请
已经有2人回复
物理化学论文润色/翻译怎么收费?
已经有174人回复
070300化学求调剂
已经有13人回复
青岛大学化学化工学院2026年招收调剂硕士研究生
已经有0人回复
北方工业大学085808储能技术-02方向(电池)接收调剂生
已经有0人回复
272求调剂,接受跨专业调剂!
已经有3人回复
有一区TOP论文,求调剂
已经有22人回复
大连工业大学杰青/长江团队-生物质材料-储能电池方向招收2026级博士生
已经有14人回复
2026贵州大学博士招生
已经有0人回复
青岛大学化学化工学院2026年招收调剂硕士研究生
已经有0人回复
xiaocaosz
金虫 (正式写手)
虫虫
- 应助: 8 (幼儿园)
- 金币: 2142.2
- 红花: 1
- 帖子: 587
- 在线: 85小时
- 虫号: 1389160
- 注册: 2011-09-03
- 专业: 电化学

2楼2014-03-24 20:14:57
3楼2014-03-24 21:10:03
4楼2014-03-24 21:10:36














回复此楼