| 查看: 5223 | 回复: 2 | |||
yajune木虫 (职业作家)
|
[求助]
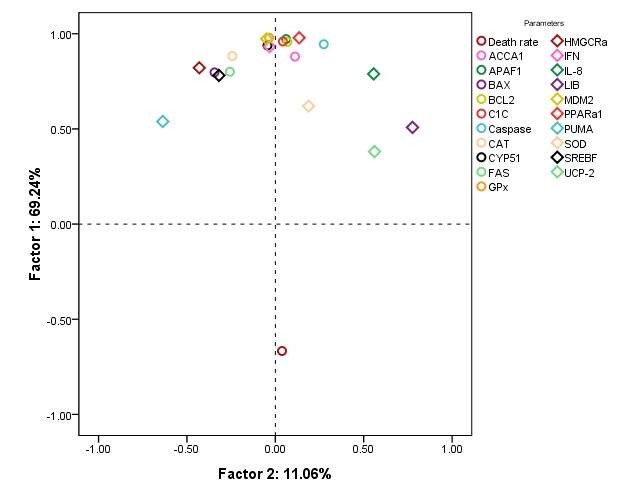
帮忙分析一下我的因子分析载荷图
|
||
|
|
|||
feixiaolin荣誉版主 (文坛精英)
|
|||
|
2楼2014-03-23 14:47:16
|
|
||
yajune木虫 (职业作家)
|
|||
|
3楼2014-03-25 14:18:14
|
|













回复此楼