±±¾©Ê¯ÓÍ»¯¹¤Ñ§Ôº2026ÄêÑо¿ÉúÕÐÉú½ÓÊÕµ÷¼Á¹«¸æ
²é¿´: 497  |  »Ø¸´: 0

emilysn

Ìú³æ (³õÈëÎÄ̳)

[ÇóÖú] ÇóÖú¹ØÓÚÄ£ºýÂß¼­·ÂÕæµÄÎÊÌâ ÕæÐÄÇóÖú £¡£¡£¡

ÎÒÏÖÔÚÔÚ×ö¹ØÓÚÄ£ºýÂß¼­·ÂÕæ£¬ÒòΪ»ù±¾Ã»ÓÐÓùýmatlab£¬ÔÚ¿´ÁË¡¶Ä£ºý¿ØÖƼ°Æämatlab·ÂÕæ¡·Õâ±¾ÊéÖ®ºóÏÖÔÚ¶ÔÎÒÒª½â¾öµÄÎÊÌ⻹ÊǺܶ಻»á£¬ÊµÔÚÊǶÔÕâ¿é²»Êì¼ÓÉÏʱ¼äÓÐÏÞ£¬ÂíÉϾÍÒªÉϽ»¹ØÓÚÕâ¿éµÄËã·¨Ö®ÀàµÄ£¬ÕæÐÄÇóÖú£¡£¡£¡¸Ðл~~~~

ÇóÖú¹ØÓÚÄ£ºýÂß¼­·ÂÕæµÄÎÊÌâ ÕæÐÄÇóÖú £¡£¡£¡
ÕâÊÇÒ»¸ö¹ØÓÚÈË×ß·µÄ×ãµ×ѹÁ¦´ó¸Å·Ö²¼Çé¿ö£¬ÎÒ¾ÍÊÇÒª°´ÕÕ×ãµ×ѹÁ¦´«¸ÐÆ÷ÉÏÃæµÄѹÁ¦ÖµÀ´Ô¤²âÈËÏÖÔÚ´¦ÓÚʲô״̬


ÇóÖú¹ØÓÚÄ£ºýÂß¼­·ÂÕæµÄÎÊÌâ ÕæÐÄÇóÖú £¡£¡£¡-1
ÕâÊÇÎҲο¼µÄһƪÂÛÎÄÉÏÓõĹæÔò


ÇóÖú¹ØÓÚÄ£ºýÂß¼­·ÂÕæµÄÎÊÌâ ÕæÐÄÇóÖú £¡£¡£¡-2
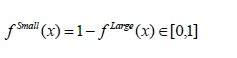
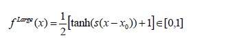
ÕâÊǹØÓÚ´óСÔõôÅж¨µÄ¹æÔò


ÇóÖú¹ØÓÚÄ£ºýÂß¼­·ÂÕæµÄÎÊÌâ ÕæÐÄÇóÖú £¡£¡£¡-3
ÕâÊÇÕû¸ö²½Ì¬µÄÄ£ºý¹æÔò


ÇóÖú¹ØÓÚÄ£ºýÂß¼­·ÂÕæµÄÎÊÌâ ÕæÐÄÇóÖú £¡£¡£¡-4


ÇóÖú¹ØÓÚÄ£ºýÂß¼­·ÂÕæµÄÎÊÌâ ÕæÐÄÇóÖú £¡£¡£¡-5
ÎÒÏÖÔÚ¾ÍÒª°´ÕÕÉÏÃæµÄÀ´·ÂÕæÏ£¬ÎÒʵ¼ÊÒªÍê³ÉµÄ·ÂÕæ±ÈÕâ¸ö»¹ÒªÔÚ¶à4¸öµã
»Ø¸´´ËÂ¥

» ²ÂÄãϲ»¶

ÒÑÔÄ   »Ø¸´´ËÂ¥   ¹Ø×¢TA ¸øTA·¢ÏûÏ¢ ËÍTAºì»¨ TAµÄ»ØÌû
Ïà¹Ø°æ¿éÌø×ª ÎÒÒª¶©ÔÄÂ¥Ö÷ emilysn µÄÖ÷Ìâ¸üÐÂ
×î¾ßÈËÆøÈÈÌûÍÆ¼ö [²é¿´È«²¿] ×÷Õß »Ø/¿´ ×îºó·¢±í
[¿¼ÑÐ] 0703Çóµ÷¼Á383·Ö +3 W55j 2026-04-03 3/150 2026-04-04 08:43 by jp9609
[¿¼ÑÐ] Ò»Ö¾Ô¸±±½»´ó²ÄÁϹ¤³Ì×Ü·Ö358 +5 cs0106 2026-04-03 5/250 2026-04-04 08:29 by jp9609
[¿¼ÑÐ] Çóµ÷¼Á£¬Ò»Ö¾Ô¸ÄϾ©º½¿Õº½Ìì´óѧ £¬080500²ÄÁÏ¿ÆÑ§Ó빤³Ìѧ˶ +9 @taotao 2026-04-03 9/450 2026-04-04 06:07 by xuxiang
[¿¼ÑÐ] 343Çóµ÷¼Á +8 °®î¿°í 2026-03-29 8/400 2026-04-03 22:19 by –¹Æ?
[¿¼ÑÐ] 311Çóµ÷¼Á +11 Ó¸ҵÄСÎâ 2026-04-02 11/550 2026-04-03 21:46 by qlm5820
[¿¼ÑÐ] Çóµ÷¼Á +3 wos666 2026-04-03 3/150 2026-04-03 21:36 by lbsjt
[¿¼ÑÐ] 329Çóµ÷¼Á£¬Ò»Ö¾Ô¸Î÷±±¹¤Òµ´óѧ£¬²ÄÁϹ¤³Ì£¨085601£© +8 СС»úÁ鳿 2026-03-29 14/700 2026-04-03 19:38 by lijunpoly
[¿¼ÑÐ] 315Çóµ÷¼Á +12 СÑòСÑò_ 2026-04-02 12/600 2026-04-03 18:22 by lsÁõ˧
[¿¼ÑÐ] ²ÄÁÏÓ뻯¹¤µ÷¼ÁÒ»Ö¾Ô¸´óÁ¬º£ÊÂ085600£¬349 +11 ³ÔµÄ²»ÉÙ 2026-03-30 11/550 2026-04-03 18:05 by Jimmyandyou
[¿¼ÑÐ] ÖØÇì´óѧ²ÄÁÏÓ뻯¹¤085600£¬³õÊÔ370+£¬ÇóÇóµ÷¼Á½¨Òé +8 shzhou_ 2026-04-01 9/450 2026-04-03 09:31 by À¶ÔÆË¼Óê
[¿¼ÑÐ] 085600µ÷¼Á +3 1amJJ 2026-04-02 3/150 2026-04-02 22:00 by ¿ÆÑÐСר¼Ò
[¿¼ÑÐ] 0856³õÊÔ324·ÖÇóµ÷¼Á +6 ÏëÉÏѧÇóµ÷ 2026-04-01 6/300 2026-04-02 11:42 by ÐÇ¿ÕÐÇÔÂ
[¿¼ÑÐ] 332Çóµ÷¼Á +8 Lyy930824@ 2026-03-29 8/400 2026-04-01 18:40 by ǧ¾û³ÎÓñÓî°¡
[¿¼ÑÐ] 08¹¤¿Æ275Çóµ÷¼Á£¬¿É¿ç¿¼¡£ +5 AaAa7420 2026-03-31 5/250 2026-04-01 15:21 by 159357hjz
[˶²©¼ÒÔ°] ²©Ò»±»ËͳöÁªÅà¸Ð¾õ²»ÊÊÓ¦Ôõô°ì +3 È«´åµÄ¹· 2026-03-31 3/150 2026-04-01 10:44 by 328838485
[¿¼ÑÐ] 335Çóµ÷¼Á +3 321* 2026-03-31 4/200 2026-04-01 00:00 by 321*
[¿¼ÑÐ] 274Çóµ÷¼Á +6 xiao°®Í¬Ñ§ 2026-03-30 6/300 2026-03-31 10:04 by cal0306
[¿¼ÑÐ] 085600£¬×¨Òµ¿Î»¯¹¤Ô­Àí£¬320·ÖÇóµ÷¼Á +6 ´ó²öС×Ó 2026-03-29 6/300 2026-03-31 10:03 by ÂÈ»¯ÑÇÏõõ£
[¿¼ÑÐ] 348Çóµ÷¼Á +6 СÀÁ³æ²»ÀÁÁË 2026-03-28 6/300 2026-03-30 10:29 by Evan_Liu
[¿¼ÑÐ] ÊýÒ»Ó¢Ò»271ר˶£¨085401£©Çóµ÷¼Á£¬¿É¿ç +7 ǰÐбØÓйâ 2026-03-28 8/400 2026-03-28 23:22 by Сľ³ætim
ÐÅÏ¢Ìáʾ
ÇëÌî´¦ÀíÒâ¼û