| 查看: 620 | 回复: 4 | ||||
沙宝子木虫 (正式写手)
|
[求助]
数学问题
|
|
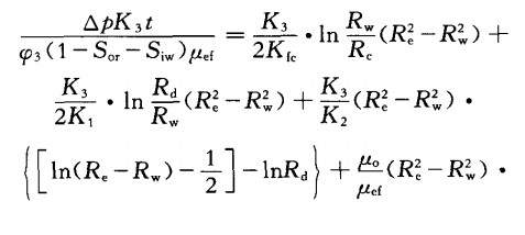
如下:钻井液固相和滤液侵入储层深度的预测模型,方程(其中除Re,t之外均为常数),Re-t作图如下。这是怎么做到的?(PS:图2紧接着图1) 1.jpg 2.jpg 3.jpg [ Last edited by 沙宝子 on 2014-3-20 at 09:34 ] |
» 猜你喜欢
深圳大学2026年秋博士招生-物理学-活性胶体方向-高永祥课题组
已经有17人回复
论物质与能量的统一模型及物理现象解释
已经有0人回复
物理学I论文润色/翻译怎么收费?
已经有182人回复
基于基元I统一理论的数学相关应用推导
已经有0人回复
基元I统一理论:宇宙本质、层级演化与修炼文明的本源规律
已经有1人回复
基元I理论下三大核心空间现象精准推导与细节解析
已经有0人回复
基于基元 I 统一理论的反重力理论推导
已经有0人回复
基于基元I统一理论的量子力学本源推导
已经有1人回复
推荐一款可以AI辅助写作的Latex编辑器SmartLatexEditor,超级好用,AI润色,全免费
已经有17人回复
【EI|Scopus 双检索】第六届智能机器人系统国际会议(ISoIRS 2026)
已经有0人回复
2026年第四届电动车与车辆工程国际会议(CEVVE 2026)
已经有0人回复

arising2010
铜虫 (正式写手)
- 应助: 32 (小学生)
- 金币: 1433.4
- 红花: 11
- 帖子: 996
- 在线: 412.6小时
- 虫号: 2464689
- 注册: 2013-05-15
- 专业: 可再生与替代能源利用中的
2楼2014-03-21 17:11:09
feixiaolin
荣誉版主 (文坛精英)
-

专家经验: +518 - 应助: 942 (博后)
- 贵宾: 1.275
- 金币: 3430
- 散金: 58785
- 红花: 532
- 沙发: 11
- 帖子: 24215
- 在线: 2601.8小时
- 虫号: 2139575
- 注册: 2012-11-21
- 专业: 光学信息获取与处理
- 管辖: 数学
|
解非线性方程即可。 钻井液固相和滤液侵入储层深度的预测模型.pdf |
» 本帖附件资源列表
-
欢迎监督和反馈:小木虫仅提供交流平台,不对该内容负责。
本内容由用户自主发布,如果其内容涉及到知识产权问题,其责任在于用户本人,如对版权有异议,请联系邮箱:xiaomuchong@tal.com - 附件 1 : 钻井液固相和滤液侵入储层深度的预测模型.PDF
2014-03-21 20:38:03, 1.54 M
3楼2014-03-21 20:39:08
沙宝子
木虫 (正式写手)
- 应助: 0 (幼儿园)
- 金币: 2895.3
- 散金: 1546
- 红花: 7
- 帖子: 542
- 在线: 441.4小时
- 虫号: 1027862
- 注册: 2010-05-25
- 性别: GG
- 专业: 固体与表面物理化学

4楼2014-03-23 19:34:15
沙宝子
木虫 (正式写手)
- 应助: 0 (幼儿园)
- 金币: 2895.3
- 散金: 1546
- 红花: 7
- 帖子: 542
- 在线: 441.4小时
- 虫号: 1027862
- 注册: 2010-05-25
- 性别: GG
- 专业: 固体与表面物理化学

5楼2014-03-23 19:35:00













回复此楼