| 查看: 205 | 回复: 2 | ||
[求助]
求助 已有1人参与
|
|
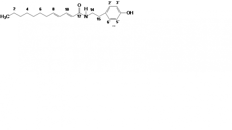
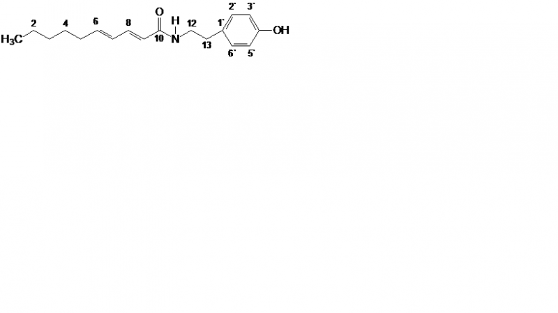
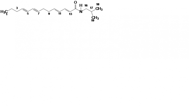
这些化合物在Anacyclus pyrethrum(L)DC是否分离得到过?相关文献 w178h2645473_1394362271_226.png w178h2645473_1394362283_164.png w178h2645473_1394362292_581.png |
» 猜你喜欢
081700,311,求调剂
已经有15人回复
一志愿北京化工085600 310分求调剂
已经有18人回复
085600材料与化工301分求调剂院校
已经有4人回复
材料与化工371求调剂
已经有14人回复
336材料与化工085600求调剂
已经有7人回复
材料334求调剂
已经有18人回复
331求调剂
已经有8人回复
332求调剂
已经有17人回复
一志愿南京航空航天大学 材料与化工329分求调剂
已经有4人回复
材料专硕322
已经有7人回复
jiyannangxj
至尊木虫 (著名写手)
美女搞科研
- PhEPI: 1
- 应助: 181 (高中生)
- 贵宾: 0.013
- 金币: 13145.5
- 散金: 32
- 红花: 109
- 帖子: 2948
- 在线: 630.8小时
- 虫号: 965914
- 注册: 2010-03-09
- 性别: MM
- 专业: 天然有机化学
2楼2014-03-15 18:16:05
3楼2014-03-15 19:44:18














回复此楼