| 查看: 2578 | 回复: 16 | |
| 当前只显示满足指定条件的回帖,点击这里查看本话题的所有回帖 | |
lolita888银虫 (小有名气)
|
[求助]
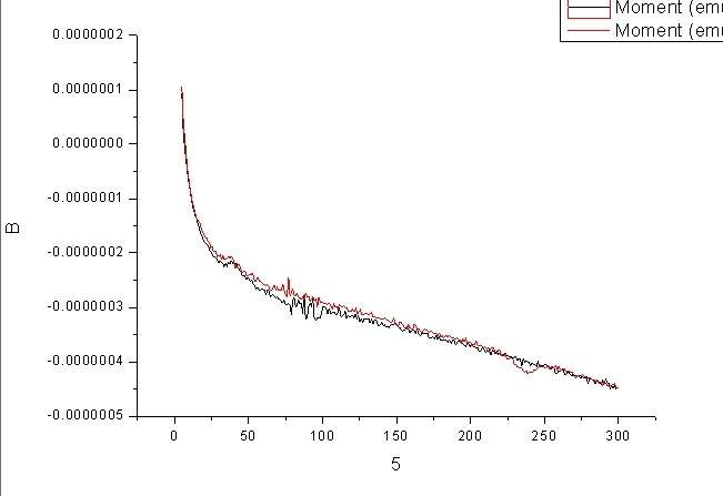
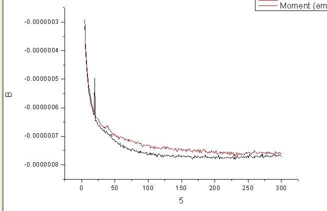
向虫子们请教ZFC/FC得到这样的曲线说明什么问题?紧急求助~~~~ 已有4人参与
|
|
|
|
mjx150荣誉版主 (正式写手)
|
|
![]() |
|
|
12楼2014-03-14 17:31:58
|
|
| 查看全部 17 个回答 | |
mjx150荣誉版主 (正式写手)
|
|
![]() |
|
|
2楼2014-03-13 11:12:47
|
|
lolita888银虫 (小有名气)
|
|
|
3楼2014-03-13 12:01:12
|
|
mjx150荣誉版主 (正式写手)
|
|
![]() |
|
|
4楼2014-03-13 15:11:41
|
|













回复此楼
