| 查看: 2741 | 回复: 2 | ||
[求助]
关于分布时滞系统的simulink模块如何搭建? 已有2人参与
|
|
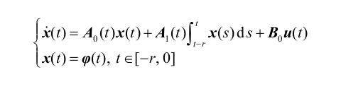
本文最近在研究具有分布时滞系统的稳定性问题,遇到一个比较头疼的问题是如何用simulink搭建如下这个分布时滞系统?恳请各位大侠帮忙 分布时滞系统.JPG 其中,A0,A1,B0,u都为已知的 [ Last edited by ep22stone on 2014-3-7 at 16:57 ] |
» 猜你喜欢
278求调剂
已经有15人回复
284求调剂
已经有15人回复
293调剂
已经有16人回复
273求调剂
已经有45人回复
22408 266求调剂
已经有13人回复
266求调剂
已经有15人回复
一志愿华东理工085601材料工程303分求调剂
已经有9人回复
生物学328分求调剂
已经有4人回复
277求调剂
已经有6人回复
265求调剂
已经有21人回复
robinsgansu
新虫 (小有名气)
- 应助: 0 (幼儿园)
- 金币: 402.9
- 红花: 2
- 帖子: 51
- 在线: 36.5小时
- 虫号: 1458891
- 注册: 2011-10-24
- 专业: 常微分方程与动力系统
2楼2014-09-10 19:49:18
3楼2015-05-30 10:55:02














回复此楼