24小时热门版块排行榜    

查看: 364  |  回复: 0

奔跑鱼

新虫 (小有名气)

[求助] 求助,怎样根据已经展开的圆柱坐标系公式倒退回以散度旋度等的缩略向量式?

求助,怎样根据已经展开的圆柱坐标系公式倒退回以散度旋度等的缩略向量式?
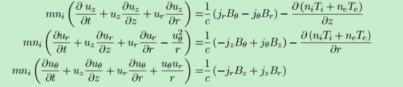
如图,在文献中直接看到了这个公式,这样展开的表达并不是很明白,所以想把它倒退回以散度和旋度的表示的一个向量形式的公式,求帮助啊,我自己看着圆柱坐标系下的公式尝试了一下,搞不定。
回复此楼

» 猜你喜欢

已阅   回复此楼   关注TA 给TA发消息 送TA红花 TA的回帖

智能机器人

Robot (super robot)

我们都爱小木虫

找到一些相关的精华帖子,希望有用哦~

科研从小木虫开始,人人为我,我为人人
相关版块跳转 我要订阅楼主 奔跑鱼 的主题更新
最具人气热帖推荐 [查看全部] 作者 回/看 最后发表
[考研] 0703化学336分求调剂 +5 zbzihdhd 2026-03-15 6/300 2026-03-18 04:34 by anny19840123
[考博] 26博士申请 +3 1042136743 2026-03-17 3/150 2026-03-17 23:30 by 轻松不少随
[考研] 070300化学319求调剂 +4 锦鲤0909 2026-03-17 4/200 2026-03-17 18:21 by 重科小霸王
[考研] 材料工程专硕调剂 +5 204818@lcx 2026-03-17 5/250 2026-03-17 17:27 by Little-xue
[考研] 308求调剂 +4 是Lupa啊 2026-03-16 4/200 2026-03-17 17:12 by ruiyingmiao
[考研] 332求调剂 +6 Zz版 2026-03-13 6/300 2026-03-17 17:03 by ruiyingmiao
[考研] 有没有道铁/土木的想调剂南林,给自己招师弟中~ +3 TqlXswl 2026-03-16 7/350 2026-03-17 15:23 by TqlXswl
[考研] 085600材料与化工 +4 安全上岸! 2026-03-16 4/200 2026-03-17 14:02 by 勇敢太监王公公
[考研] 一志愿南京大学,080500材料科学与工程,调剂 +4 Jy? 2026-03-16 4/200 2026-03-17 11:02 by gaoqiong
[考研] 材料专硕274一志愿陕西师范大学求调剂 +5 薛云鹏 2026-03-13 5/250 2026-03-17 10:15 by Sammy2
[基金申请] 国自科面上基金字体 +6 iwuli 2026-03-12 7/350 2026-03-16 21:18 by sculhf
[考研] 318求调剂 +3 Yanyali 2026-03-15 3/150 2026-03-16 16:41 by houyaoxu
[考研] 0703化学调剂,求各位老师收留 +8 秋有木北 2026-03-14 8/400 2026-03-16 15:21 by 哦哦123
[考研] 机械专硕调剂 +3 笨笨兔子 2026-03-12 3/150 2026-03-15 20:02 by 栗子粥?
[考研] 070305求调剂 +3 mlpqaz03 2026-03-14 4/200 2026-03-15 11:04 by peike
[考研] 085601材料工程315分求调剂 +3 yang_0104 2026-03-15 3/150 2026-03-15 10:58 by peike
[考研] 297求调剂 +4 学海漂泊 2026-03-13 4/200 2026-03-14 11:51 by 热情沙漠
[考研] 266求调剂 +4 学员97LZgn 2026-03-13 4/200 2026-03-14 08:37 by zhukairuo
[考研] 328化工专硕求调剂 +4 。,。,。,。i 2026-03-12 4/200 2026-03-13 14:44 by JourneyLucky
[考研] 一志愿山大07化学 332分 四六级已过 本科山东双非 求调剂! +3 不想理你 2026-03-12 3/150 2026-03-13 14:18 by JourneyLucky
信息提示
请填处理意见