| 查看: 1121 | 回复: 8 | ||
[求助]
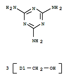
三甲基三聚氰胺结构式怎么写,急求 已有1人参与
|
| 如题,三甲基三聚氰胺结构式怎么写,急求 |
» 猜你喜欢
电子科技大学 杨青慧教授团队 招收博士生数名
已经有10人回复
双一流南林大材料院招收申请-考核博士生,课题:电池-生物质功能材料
已经有0人回复
无机非金属材料论文润色/翻译怎么收费?
已经有100人回复
中科院赣江创新研究院-江西理工大学2026年联合培养博士研究生招生(电化学储能)
已经有23人回复
求NH4V4O10和NH4V4O10的cif文件,或ISCD号
已经有1人回复
复试调剂
已经有9人回复
调剂
已经有2人回复
南京林业大学国家工程中心生物质材料课题组研究生招生
已经有1人回复
广东工业大学-木质纤维素高值化利用团队招博士研究生
已经有20人回复
青岛科技大学高分子学院李明杰老师招收高分子材料方向硕博士研究生,欢迎联系!
已经有1人回复
天津工业大学双一流高校招博士、硕士、博士后
已经有13人回复
» 本主题相关价值贴推荐,对您同样有帮助:
苄基三甲基氯化铵合成问题
已经有4人回复
求N-羟甲基、二羟甲基乙烯脲的化学结构式
已经有4人回复
求助:Sodium Lauroyl Methyl Isethionate 月桂酰羟甲基乙磺酸钠 这个物质的结构式
已经有7人回复
求个结构式,十六烷基三甲基氯化铵
已经有5人回复
关于十六烷基三甲基溴化铵的几个参数
已经有7人回复
【求助】羧甲基纤维素的结构式
已经有5人回复
给予爱
金虫 (正式写手)
- 应助: 38 (小学生)
- 金币: 1080.2
- 散金: 496
- 红花: 7
- 帖子: 687
- 在线: 186.2小时
- 虫号: 2861319
- 注册: 2013-12-10
- 性别: GG
- 专业: 高分子合成化学

2楼2014-03-07 10:25:31
给予爱
金虫 (正式写手)
- 应助: 38 (小学生)
- 金币: 1080.2
- 散金: 496
- 红花: 7
- 帖子: 687
- 在线: 186.2小时
- 虫号: 2861319
- 注册: 2013-12-10
- 性别: GG
- 专业: 高分子合成化学

3楼2014-03-07 10:26:20
4楼2014-03-10 09:38:36
给予爱
金虫 (正式写手)
- 应助: 38 (小学生)
- 金币: 1080.2
- 散金: 496
- 红花: 7
- 帖子: 687
- 在线: 186.2小时
- 虫号: 2861319
- 注册: 2013-12-10
- 性别: GG
- 专业: 高分子合成化学

5楼2014-03-10 10:31:52
6楼2014-03-10 11:02:32
给予爱
金虫 (正式写手)
- 应助: 38 (小学生)
- 金币: 1080.2
- 散金: 496
- 红花: 7
- 帖子: 687
- 在线: 186.2小时
- 虫号: 2861319
- 注册: 2013-12-10
- 性别: GG
- 专业: 高分子合成化学

7楼2014-03-10 11:03:48
8楼2014-03-10 11:13:19
给予爱
金虫 (正式写手)
- 应助: 38 (小学生)
- 金币: 1080.2
- 散金: 496
- 红花: 7
- 帖子: 687
- 在线: 186.2小时
- 虫号: 2861319
- 注册: 2013-12-10
- 性别: GG
- 专业: 高分子合成化学

9楼2014-03-10 11:26:28













回复此楼
40