| ²é¿´: 426 | »Ø¸´: 3 | |||
Ñ©Îö2014Ìú³æ (³õÈëÎÄ̳)
|
[ÇóÖú]
Çó»ý·Ö
|
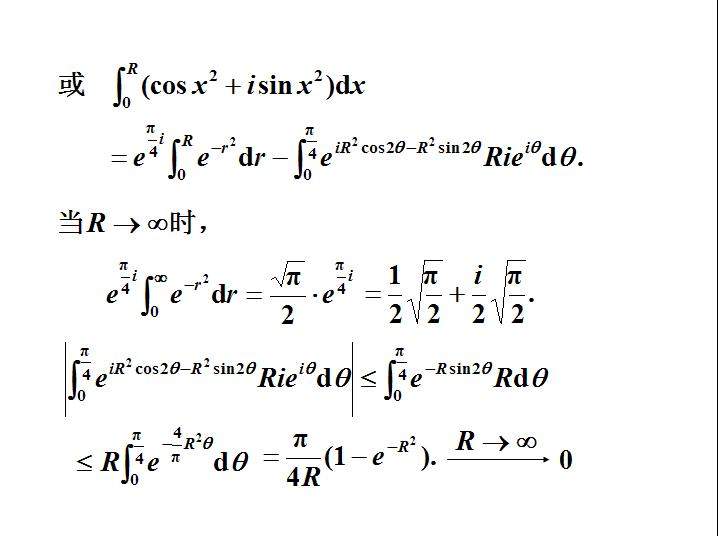
| ¡Òexp(ix^2)dx´Ó0µ½ÕýÎÞÇî»ý·ÖÔõô»ý·Ö£¿£¨iÊÇ´¿ÐéÊý£©×îºÃÓÐÏêϸ¹ý³Ì |
» ²ÂÄãϲ»¶
ÍËѧ»ò¼á³Ö¶Á
ÒѾÓÐ28È˻ظ´
ÓÐʱºòÕæ¾õµÃ´ó³ÇÊÐÈËûÓÐÏØ³ÇÈËÉõÖÁ¸öÌå»§ÐÒ¸£
ÒѾÓÐ7È˻ظ´
Ìì½ò´óѧÕÐ2026.09µÄ²©Ê¿Éú£¬»¶Ó´ó¼ÒÍÆ¼ö½»Á÷£¨²©µ¼ÊDZ¾ÈË£©
ÒѾÓÐ3È˻ظ´
ÃæÉÏÏîÄ¿É걨
ÒѾÓÐ3È˻ظ´
õ£°·ÍÑÒÒõ£»ù
ÒѾÓÐ9È˻ظ´
CSC & MSCA ²©ÂåÄáÑÇ´óѧÄÜÔ´²ÄÁÏ¿ÎÌâ×鲩ʿ/²©Ê¿ºóÕÐÉú£üMSCA¾·Ñ³ä×ã¡¢ÅÅÃûÓÅ
ÒѾÓÐ5È˻ظ´
²©Ê¿ÑÓµÃÎÒ£¬¿ÆÑÐÄÜÁ¦Ö±ÍùÉÏ´Ú
ÒѾÓÐ7È˻ظ´
ÃæÉÏ»ù½ðÉ걨ûÓÐÆäËûµÄ²ÎÓëÕß³ÉÂð
ÒѾÓÐ5È˻ظ´
Óö¼û²»Ê¡ÐĵļÒÈ˺ÜÄѹý
ÒѾÓÐ22È˻ظ´

feixiaolin
ÈÙÓþ°æÖ÷ (ÎÄ̳¾«Ó¢)
-

ר¼Ò¾Ñé: +518 - Ó¦Öú: 942 (²©ºó)
- ¹ó±ö: 1.275
- ½ð±Ò: 3430
- É¢½ð: 58785
- ºì»¨: 532
- ɳ·¢: 11
- Ìû×Ó: 24215
- ÔÚÏß: 2601.8Сʱ
- ³æºÅ: 2139575
- ×¢²á: 2012-11-21
- רҵ: ¹âѧÐÅÏ¢»ñÈ¡Óë´¦Àí
- ¹ÜϽ: Êýѧ
2Â¥2014-03-05 10:44:14
Ñ©Îö2014
Ìú³æ (³õÈëÎÄ̳)
- Ó¦Öú: 0 (Ó×¶ùÔ°)
- ½ð±Ò: 174
- Ìû×Ó: 21
- ÔÚÏß: 86.8Сʱ
- ³æºÅ: 2071453
- ×¢²á: 2012-10-18
- ÐÔ±ð: MM
- רҵ: Öйú¹Å´úÎÄѧ

3Â¥2014-03-05 10:52:17
|
ºÃ [ ·¢×ÔÊÖ»ú°æ http://muchong.com/3g ] |
4Â¥2014-03-06 12:18:33













»Ø¸´´ËÂ¥