| 查看: 896 | 回复: 0 | ||
[求助]
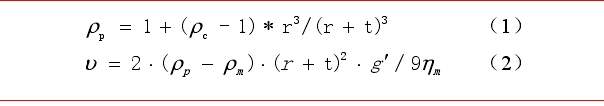
谁能详细讲解一下附件图片中的关于浮力密度和沉降速度的公式,谢谢了
|
四氧化三铁纳米颗粒制备、修饰及包覆 |
» 猜你喜欢
招生负责_院士团队_学生高自由度成长_擅长学生培养
已经有5人回复
温州大学招收2026年入学博士研究生(化学、材料、环境)
已经有10人回复
无机化学论文润色/翻译怎么收费?
已经有84人回复
非晶合金
已经有2人回复
院士团队-每届学生都优秀-高自由度-团队氛围好
已经有0人回复
求调剂
已经有3人回复
化工学院(学院正式调剂群+联系方式)
已经有0人回复
化工学院(学院官方群)-院士团队招生-学生自由度高-培养模式成熟高效
已经有0人回复
黑龙江大学分析化学招调剂
已经有0人回复
武汉高校国家级人才团队招收材料,化学,纺织等专业硕士调剂生
已经有26人回复
纺大化工学院(官方群)-院士团队招生-学生自由度高发展好-培养模式成熟
已经有0人回复













回复此楼
40