| 查看: 1679 | 回复: 7 | ||
[求助]
流固耦合案例中的流速设置问题 已有2人参与
|
|
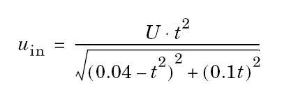
流固耦合案例(附件案例)中,提到流道中心线处的流速(附件公式1) 请问这个流速公式从哪里得来的? 然后,案例求解步骤里面提到平均流速(附件公式2) 这个流速公式和上面提到的流速公式有点不同,这又是怎么回事? 希望大家给予帮助,谢谢。 ![]() 案例.jpg 公式1.jpg 公式2.jpg |
» 猜你喜欢
336求调剂
已经有4人回复
求生物学调剂
已经有8人回复
08生物与医药专硕初试346找调剂
已经有6人回复
生物学327,求调剂
已经有6人回复
0710生物学求调剂
已经有7人回复
385分 生物学(071000)求调剂
已经有4人回复
材料考研调剂
已经有4人回复
366求调剂一志愿东北大学
已经有3人回复
08工科275分求调剂
已经有13人回复
材料工程322分
已经有6人回复
» 本主题相关价值贴推荐,对您同样有帮助:
Fluent仿真模拟液体加热气化(蒸发)过程
已经有7人回复
fluent传热问题
已经有7人回复
FLUENT模拟流-固耦合散热
已经有132人回复
Fluent 模拟置换通风如何设置热源
已经有18人回复
2楼2014-02-26 15:53:51
3楼2014-02-27 12:06:55
大家安静点儿
铁虫 (正式写手)
- 应助: 3 (幼儿园)
- 金币: 44.2
- 散金: 211
- 沙发: 1
- 帖子: 471
- 在线: 61.3小时
- 虫号: 1972446
- 注册: 2012-09-04
- 性别: GG
- 专业: 机械工程
4楼2014-02-27 15:18:06
5楼2014-02-28 13:04:26
| 你好,请问这个案例你有没有资料可以参考呀?我也想学学这个案例。之前自己整,一直没有成功。所以请问可以发一个例子到我邮箱吗?我的邮箱:onebeingbeing@126.com,感激不尽! |

6楼2014-03-04 16:35:27
7楼2014-03-05 10:35:24

8楼2014-03-05 22:59:24















回复此楼