24小时热门版块排行榜    

北京石油化工学院2026年研究生招生接收调剂公告
查看: 542  |  回复: 0

蛋炒饭7695

新虫 (初入文坛)

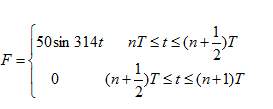
[求助] 如何在ansys瞬态动力学中加载周期半波激振力 命令流

这个周期半波正弦函数如何加载在瞬态动力学中啊?n是整数,从0取到30,即一共有30个半波
如何在ansys瞬态动力学中加载周期半波激振力 命令流
a9d3fd1f4134970a1b08ad7f97cad1c8a7865d62.jpg
回复此楼
已阅   回复此楼   关注TA 给TA发消息 送TA红花 TA的回帖
相关版块跳转 我要订阅楼主 蛋炒饭7695 的主题更新
最具人气热帖推荐 [查看全部] 作者 回/看 最后发表
[考研] 285求调剂 +6 哦呦呼o 2026-04-04 6/300 2026-04-04 20:20 by 蓝云思雨
[考研] 290求调剂 +5 luoziheng 2026-04-04 5/250 2026-04-04 20:11 by babysonlkd
[考研] 0835学硕299求调剂 08大类可接受 +5 useryy 2026-04-03 5/250 2026-04-04 20:07 by 蓝云思雨
[考研] 求调剂 +6 朔朔话 2026-04-02 7/350 2026-04-04 19:16 by 蓝云思雨
[考研] 278求调剂 +9 范婷娜 2026-04-04 10/500 2026-04-04 17:36 by 286640313
[考研] 求调剂 +5 Hll胡 2026-04-04 5/250 2026-04-04 16:49 by dongzh2009
[考研] 一志愿武理材料工程302调剂环化或化工 +19 Doleres 2026-03-31 20/1000 2026-04-04 16:44 by 啊俊!
[考研] 求调剂:085600材料与化工,考材科基,总分319 +21 678lucky 2026-03-31 26/1300 2026-04-04 16:22 by dongzh2009
[考研] 293分求调剂,外语为俄语 +6 加一一九 2026-03-31 6/300 2026-04-04 14:57 by 聪明的大松鼠
[考研] 土木304求调剂 +4 兔突突突, 2026-03-31 4/200 2026-04-04 13:34 by 1753564080
[考研] 电子信息调剂交叉学科有推荐吗 +6 jhtfeybgj 2026-04-01 8/400 2026-04-04 07:52 by 1753564080
[考研] 298求调剂 +9 种圣赐 2026-03-29 9/450 2026-04-03 17:52 by Jimmyandyou
[考研] 321求调剂 +17 y-yh 2026-04-01 20/1000 2026-04-03 12:57 by y-yh
[考研] 土木水利328分求调剂 +6 疾风知劲草666 2026-04-02 6/300 2026-04-03 11:38 by znian
[考研] 295求调剂 +7 愿旅途永远坦然 2026-04-02 7/350 2026-04-03 08:22 by fangshan711
[考研] 化学070300-总分378-求调剂 +5 挪椅子的泡泡糖 2026-04-02 5/250 2026-04-02 22:20 by ZXlzxl0425
[考研] 土木304求调剂 +6 兔突突突, 2026-03-31 7/350 2026-04-02 09:06 by coolminer
[考研] 一志愿北交大材料工程,总分358 +4 cs0106 2026-04-01 4/200 2026-04-02 07:42 by 尚水阁主
[考研] 材料调剂 +11 一样YWY 2026-03-31 11/550 2026-04-01 11:35 by wangjy2002
[考研] 吉大生物学326分求调剂 +3 sunnyupup 2026-03-31 3/150 2026-03-31 09:28 by longlotian
信息提示
请填处理意见