| ²é¿´: 13643 | »Ø¸´: 10 | |||||
houhuihui000½ð³æ (ÕýʽдÊÖ)
|
[ÇóÖú]
XRDÔõô¼ÆËã²ÄÁϵIJã¼ä¾à£¿ ÒÑÓÐ5È˲ÎÓë
|
||||
´Ì¿Í | Charactization ¾Ñé | 11-16 ±íÕ÷ÊÖ¶Î | °ü̼ |
» ²ÂÄãϲ»¶
0856µ÷¼Á£¬ÊÇѧУ¾ÍÈ¥
ÒѾÓÐ9È˻ظ´
298-Ò»Ö¾Ô¸Öйúũҵ´óѧ-Çóµ÷¼Á
ÒѾÓÐ9È˻ظ´
265Çóµ÷¼Á
ÒѾÓÐ7È˻ظ´
Çóµ÷¼Á
ÒѾÓÐ4È˻ظ´
ѧУÒѾÌá½»µ½NSFC£¬»¹ÄÜÐÞ¸ÄÂð£¿
ÒѾÓÐ7È˻ظ´
²ÄÁÏѧ˶297ÒѹýËÄÁù¼¶Çóµ÷¼ÁÍÆ¼ö
ÒѾÓÐ6È˻ظ´
295¸´ÊÔµ÷¼Á
ÒѾÓÐ7È˻ظ´
±¾ÈË¿¼085602 »¯Ñ§¹¤³Ì ר˶
ÒѾÓÐ20È˻ظ´
Ò»Ö¾Ô¸ÖÐÄÏ»¯Ñ§337Çóµ÷¼Á
ÒѾÓÐ5È˻ظ´
281Çóµ÷¼Á£¨0805£©
ÒѾÓÐ23È˻ظ´
» ±¾Ö÷ÌâÏà¹ØÉ̼ÒÍÆ¼ö: (ÎÒÒ²ÒªÔÚÕâÀïÍÆ¹ã)
» ±¾Ö÷ÌâÏà¹Ø¼ÛÖµÌùÍÆ¼ö£¬¶ÔÄúͬÑùÓаïÖú:
Ñõ»¯Ê¯Ä«µÄÀÂü¹âÆ×D·åºÍG·å»ý·ÖÇ¿¶È±ÈÔõô¼ÆË㣿
ÒѾÓÐ7È˻ظ´
ÇëÎÊXRDµÄ°ë¸ß¿íÊDZíÕ÷¾§Á£³ß´ç»¹ÊÇ¿ÅÁ£³ß´ç£¿
ÒѾÓÐ5È˻ظ´
XRD¾§Ãæ¼ä¾à¼ÆËãºÍ΢¾§³ß´ç¼ÆËãСÈí¼þ¡¾×ªÔØ¡¿
ÒѾÓÐ85È˻ظ´
ʯīµÄ¾§¸ñ¼ä¾à
ÒѾÓÐ9È˻ظ´
¹ØÓÚʯīÏËάxrdÆ×ͼ·åµÄº¬Òå
ÒѾÓÐ6È˻ظ´
ÇóÀûÓÃScherrer¹«Ê½¼ÆËã¾§Á£´óС
ÒѾÓÐ10È˻ظ´
ʯīϩÄÉÃׯ¬µÄXRDͼÆ×ÓëʯīµÄÇø±ðÊÇʲô£¿
ÒѾÓÐ5È˻ظ´
XRDµÄ·å¸ßÔõôÓÃmm±íʾ
ÒѾÓÐ5È˻ظ´
¸÷λ´óÏÀ£¬xrdÖÐÈçºÎ¸ù¾ÝÃæ¼ä¾à¼ÆËã¾§¸ñ²ÎÊý
ÒѾÓÐ4È˻ظ´
XRDÄÜÓÃÓÚËã¾§Ìå³ß´çÂð£¿Õ¦ÓÐͬѧ˵ËãµÄÊDzã¼ä¾à£¿Äܲ»Äܸø¸öËã³ß´çµÄ¾ßÌåÀý×Ó
ÒѾÓÐ5È˻ظ´
XRDͼÓò¼À¸ñ·½³Ì¼ÆËã¾§Ãæ¼ä¾àµÄ¦È
ÒѾÓÐ4È˻ظ´
TEMµÄ±ê³ßÓëʵ¼Ê²»·û
ÒѾÓÐ8È˻ظ´
Çë½Ì¸÷λ´óÏÀ£¬ÈçºÎ½«Á½Ìõ²»µÈ¼ä¾àµÄÇúÏßͳһ³ÉµÈ¼ä¾à£¿
ÒѾÓÐ4È˻ظ´
Ôõô´ÓXRD·å¼ÆËãÑõ»¯Ê¯Ä«µÄƬ²ã¼ä¾à
ÒѾÓÐ6È˻ظ´
XRD¼ÆËã¾§Ãæ¼ä¾àµÄÎÊÌâ
ÒѾÓÐ17È˻ظ´
¡¾Çë½Ì¡¿Ê¯Ä«Ï©µÄDºÍG·åλÖÃÎÊÌâ
ÒѾÓÐ16È˻ظ´
¡¾Çë½Ì¡¿XRDÔõôµÃµ½·å¸ßºÍ·å¿í£¬Ôõô¼ÆËãÄÉÃײÄÁϵĴóС
ÒѾÓÐ13È˻ظ´
¡¾ÇóÖú¡¿¶à¿×̼ÖÐ̼µÄ½á¹¹ÊÇʯīƬ²ã½á¹¹Âð£¿
ÒѾÓÐ9È˻ظ´
¡¾ÇóÖú¡¿XRD¼ÆËãÑÜÉäÇ¿¶È
ÒѾÓÐ5È˻ظ´
ÔÚoringeÀïÔõô°ÑÁ½¸öXRDÖеÄÒ»¸öÉÏÒÆ
ÒѾÓÐ15È˻ظ´
¡¾ÇóÖú¡¿ÇëÎÊÓÐÈË×ö¹ýË®»¬Ê¯µÄxrdÂð£¿ÔõÑù¼ÆËã²ã¼ä¾à£¿
ÒѾÓÐ7È˻ظ´
¡¾ÇóÖú¡¿Ê²Ã´·½·¨¿ÉÒÔÊÇʯī²ãÓë²ã¼äµÄ¼ü¶ÏÁÑ
ÒѾÓÐ9È˻ظ´
¡¾ÇóÖú¡¿ÔõÑù´ÓXRDÆ×ͼ¼ÆËã²ÄÁϵľ§Á£¶ÈºÍ¾§Ãæ¼ä¾à
ÒѾÓÐ14È˻ظ´
weijun5556
ľ³æ (ÕýʽдÊÖ)
- Ó¦Öú: 31 (СѧÉú)
- ½ð±Ò: 3921.7
- É¢½ð: 973
- ºì»¨: 37
- Ìû×Ó: 898
- ÔÚÏß: 715Сʱ
- ³æºÅ: 1240058
- ×¢²á: 2011-03-21
- ÐÔ±ð: GG
- רҵ: ¾ÛºÏÎï¹²»ìÓ븴ºÏ²ÄÁÏ
¡¾´ð°¸¡¿Ó¦Öú»ØÌû
¡ï ¡ï ¡ï ¡ï ¡ï
¸Ðл²ÎÓ룬ӦÖúÖ¸Êý +1
wgs8136: ½ð±Ò+1, »¶ÓÓ¦Öú 2014-01-16 09:03:59
houhuihui000: ½ð±Ò+4, ¡ïÓаïÖú 2014-01-16 21:15:19
¸Ðл²ÎÓ룬ӦÖúÖ¸Êý +1
wgs8136: ½ð±Ò+1, »¶ÓÓ¦Öú 2014-01-16 09:03:59
houhuihui000: ½ð±Ò+4, ¡ïÓаïÖú 2014-01-16 21:15:19
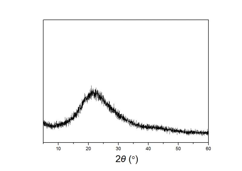
| ͬÒâÂ¥ÉÏ£¬×¼È·Ëµ£¬¦Ë=0.154 nm£¬´ËͼµÄ ¦ÈÔ¼11¡ã°É£¬´øÈ빫ʽµÃ³öd |

3Â¥2014-01-15 23:54:27
sammymoon
ľ³æ (СÓÐÃûÆø)
- Ó¦Öú: 1 (Ó×¶ùÔ°)
- ½ð±Ò: 2085.6
- ºì»¨: 1
- Ìû×Ó: 72
- ÔÚÏß: 28.6Сʱ
- ³æºÅ: 1477325
- ×¢²á: 2011-11-05
- רҵ: Óлú·Ö×Ó¹¦ÄܲÄÁÏ»¯Ñ§
¡¾´ð°¸¡¿Ó¦Öú»ØÌû
¡ï ¡ï ¡ï ¡ï ¡ï ¡ï
¸Ðл²ÎÓ룬ӦÖúÖ¸Êý +1
wgs8136: ½ð±Ò+2, »¶ÓгæÓ¦Öú 2014-01-16 09:03:53
houhuihui000: ½ð±Ò+4, ¡ïÓаïÖú 2014-01-16 21:15:10
¸Ðл²ÎÓ룬ӦÖúÖ¸Êý +1
wgs8136: ½ð±Ò+2, »¶ÓгæÓ¦Öú 2014-01-16 09:03:53
houhuihui000: ½ð±Ò+4, ¡ïÓаïÖú 2014-01-16 21:15:10
|
²¼À¸ñ·½³Ì£º2dsin¦È=n¦Ë d:¾§Ãæ¾àÀë ¦È£ºÍ¼ÉϵĶÁ³ö,£¨×¢ÒâͼÉÏΪ2¦È£©¦Ë£ºxÉäÏß²¨³¤ n=1Ò»¼¶ÑÜÉä |
2Â¥2014-01-15 19:24:28
houhuihui000
½ð³æ (ÕýʽдÊÖ)
- Ó¦Öú: 22 (СѧÉú)
- ½ð±Ò: 1736
- É¢½ð: 47
- ºì»¨: 1
- Ìû×Ó: 517
- ÔÚÏß: 134.5Сʱ
- ³æºÅ: 1669518
- ×¢²á: 2012-03-06
- ÐÔ±ð: GG
- רҵ: Óлú·Ö×Ó¹¦ÄܲÄÁÏ»¯Ñ§
4Â¥2014-01-16 09:48:41
sammymoon
ľ³æ (СÓÐÃûÆø)
- Ó¦Öú: 1 (Ó×¶ùÔ°)
- ½ð±Ò: 2085.6
- ºì»¨: 1
- Ìû×Ó: 72
- ÔÚÏß: 28.6Сʱ
- ³æºÅ: 1477325
- ×¢²á: 2011-11-05
- רҵ: Óлú·Ö×Ó¹¦ÄܲÄÁÏ»¯Ñ§
5Â¥2014-01-16 18:28:05
598878157
°æÖ÷ (ÎÄѧ̩¶·)
rky
- Ó¦Öú: 369 (˶ʿ)
- ¹ó±ö: 3.087
- ½ð±Ò: 103256
- É¢½ð: 301
- ºì»¨: 155
- Ìû×Ó: 58331
- ÔÚÏß: 1147.5Сʱ
- ³æºÅ: 614840
- ×¢²á: 2008-09-28
- ÐÔ±ð: GG
- רҵ: ¹ÌÌåÎÞ»ú»¯Ñ§
- ¹ÜϽ: ÍâÓïѧϰ
6Â¥2014-01-16 19:12:41
houhuihui000
½ð³æ (ÕýʽдÊÖ)
- Ó¦Öú: 22 (СѧÉú)
- ½ð±Ò: 1736
- É¢½ð: 47
- ºì»¨: 1
- Ìû×Ó: 517
- ÔÚÏß: 134.5Сʱ
- ³æºÅ: 1669518
- ×¢²á: 2012-03-06
- ÐÔ±ð: GG
- רҵ: Óлú·Ö×Ó¹¦ÄܲÄÁÏ»¯Ñ§
7Â¥2014-01-16 21:14:45
598878157
°æÖ÷ (ÎÄѧ̩¶·)
rky
- Ó¦Öú: 369 (˶ʿ)
- ¹ó±ö: 3.087
- ½ð±Ò: 103256
- É¢½ð: 301
- ºì»¨: 155
- Ìû×Ó: 58331
- ÔÚÏß: 1147.5Сʱ
- ³æºÅ: 614840
- ×¢²á: 2008-09-28
- ÐÔ±ð: GG
- רҵ: ¹ÌÌåÎÞ»ú»¯Ñ§
- ¹ÜϽ: ÍâÓïѧϰ
8Â¥2014-01-16 21:37:17
wtj0987
Òø³æ (³õÈëÎÄ̳)
- PEPI: 1
- Ó¦Öú: 0 (Ó×¶ùÔ°)
- ½ð±Ò: 731.4
- É¢½ð: 30
- ºì»¨: 16
- Ìû×Ó: 19
- ÔÚÏß: 10.1Сʱ
- ³æºÅ: 1549754
- ×¢²á: 2011-12-24
- רҵ: Óлú¸ß·Ö×Ó¹¦ÄܲÄÁÏ
¡¾´ð°¸¡¿Ó¦Öú»ØÌû
| ÄãµÄÆ×ͼºá×ø±ê·¶Î§²»¶Ô£¬¸ø³öµÄ·åÊǾۺÏÎïµÄ·Ç¾§Ì¬·å£¬Ö»ÄÜÖ¤Ã÷ÄãµÄ²ÄÁÏÊǷǾ§Ì¬µÄ¡£¶øÕæÕýµÄ²ã×´¼ä¾àµÄ·åÓ¦¸ÃÔÚ5¡ãÒÔÏ£¬Ò»°ãÇé¿öÊÇÁ½¸öºá×ø±êÊýÖµÏà²îÁ½±¶µÄ·å£¨Ò²ÓÐÇé¿öÊDz»Ö¹Á½¸ö»òÕßÖ»ÓÐÒ»¸öµÄ£©£¬Ö»ÓÐÕâÁ½¸öÄܹ»ËµÃ÷ÄãµÄ²ÄÁÏÊDzã×´½á¹¹¡£Äã²âµÄÊÇXRD£¬±íÕ÷²»ÁËÕâôСµÄ½Ç¶È¡£ÏëÒªµÃµ½ÕâÁ½¸ö·å±ØÐëÓÃSAXSС½ÇXRD¡£²ã¼ä¾àÓõÚÒ»¸ö·åÖµ¼ÆËã¡£ |
9Â¥2014-11-15 21:43:01
xiaomagege
Ìú¸Ëľ³æ (ÕýʽдÊÖ)
- Ó¦Öú: 1 (Ó×¶ùÔ°)
- ½ð±Ò: 7939
- É¢½ð: 110
- ºì»¨: 1
- Ìû×Ó: 624
- ÔÚÏß: 205.7Сʱ
- ³æºÅ: 2043183
- ×¢²á: 2012-10-04
- ÐÔ±ð: GG
- רҵ: µç»¯Ñ§

10Â¥2016-05-12 20:49:17













»Ø¸´´ËÂ¥

