| 查看: 3646 | 回复: 1 | ||
fengsong新虫 (小有名气)
|
[求助]
paper 接受了,版权转让书如何签?
|
|
![]() |
||
|
|
||
|
||
|
2楼2020-10-12 15:38:46
|
|














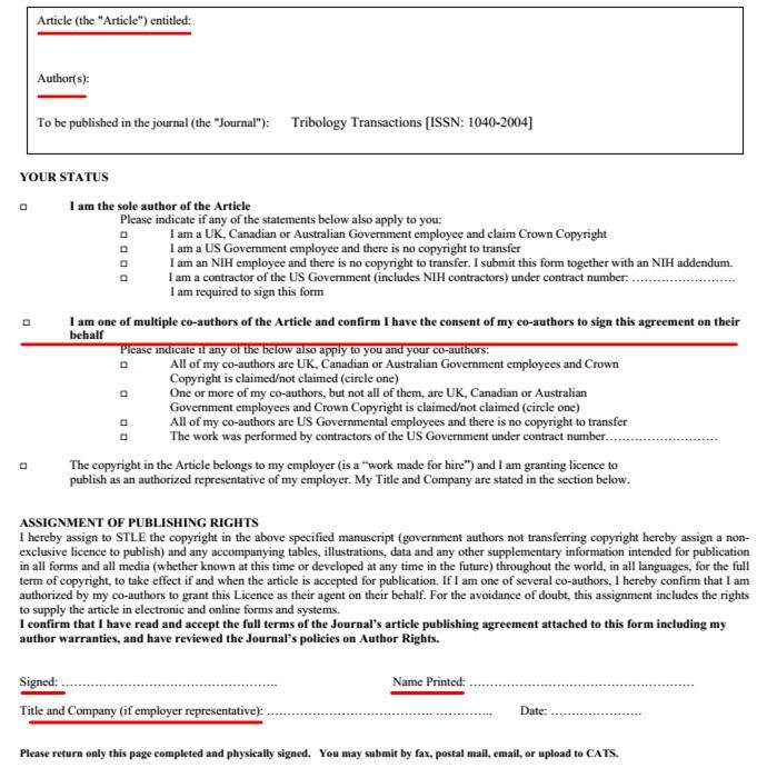
entitled: (写下论文的题目,手写可以吗,可以用电脑编辑添加吗)
回复此楼
5