| 查看: 2003 | 回复: 11 | |||
[求助]
纳米氧化亚铜的禁带宽度计算已有2人参与
|
|
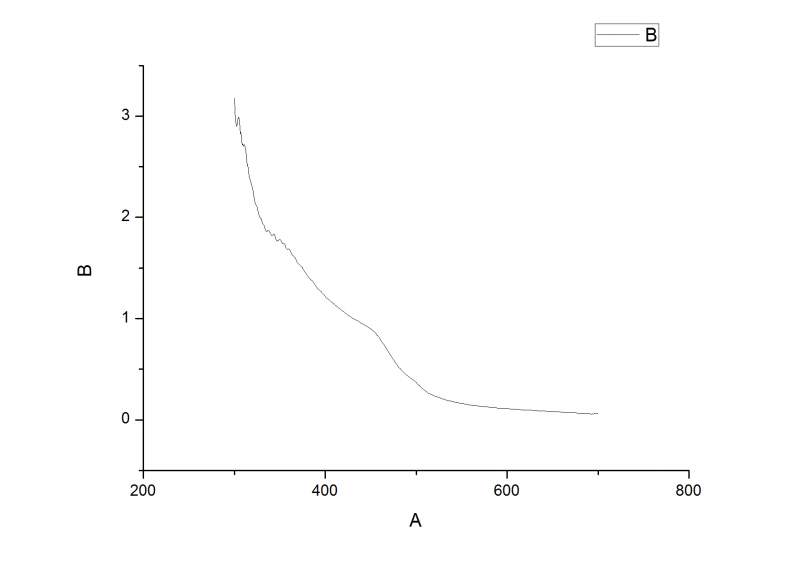
各位大虾好, 最近在算氧化亚铜的禁带宽度遇到了问题,请给位帮忙。 我看文献中介绍说以hv对(Ahv)2 作图,然后画切线就可以得到禁带宽度的值。但是我看别人得到的图都是特别平滑的曲线,也有比较明显的直线部分。但是我做的图有很大的凸起。不知道是何原因,请帮忙分析一下。而且做切线的话,我初步估算都要比2.2v大,不是说氧化亚铜的禁带宽度是2.0到2.2吗?我这个是怎么回事? 6.jpg |
» 猜你喜欢
无机化学论文润色/翻译怎么收费?
已经有161人回复
» 本主题相关商家推荐: (我也要在这里推广)
» 本主题相关价值贴推荐,对您同样有帮助:
有做纳米CuO的进来,在线等
已经有16人回复
氧化亚铜与氧化铜的混合物(除去氧化铜但是要保留氧化亚铜)?
已经有6人回复
氧化亚铜 禁带宽度
已经有20人回复
TiO2(P25)的禁带宽度是多少,能不能提供其紫外可见漫反射谱图
已经有8人回复
半导体禁带宽度
已经有10人回复
氧化亚铜的形成原理
已经有39人回复
氧化亚铜XRD分析
已经有14人回复
紫外光谱求禁带宽度时ahv-hv曲线非线性怎么办??
已经有3人回复
固体紫外求禁带宽度怎么画切线
已经有3人回复
光子能量如果小于薄膜禁带宽度,薄膜还会吸收光嘛?
已经有6人回复
如何计算半导体纳米粉体的禁带宽度?需要测量哪些量?如何测量?非常感谢!
已经有8人回复
求CdS、CdTe、CdSe、ZnS、ZnSe、ZnTe、的禁带宽度???谢谢哈
已经有10人回复
氧化亚铜还原银
已经有10人回复
氧化亚铜催化性能讨论
已经有19人回复
JACS:具有立方到菱方十二面体结构的氧化亚铜纳米晶的光催化性能
已经有457人回复
Cu2O紫外可见吸收
已经有5人回复
光解水产 (氧) 能力较强的半导体材料有哪些呢?
已经有20人回复
纳米氧化亚铜制备中的问题
已经有13人回复
请问掺杂能不能改变禁带宽度
已经有8人回复
【请教】如何画线确定禁带宽度
已经有10人回复
2楼2014-01-06 13:25:38
3楼2014-01-06 17:39:23
gxytju2008
专家顾问 (文坛精英)
-

专家经验: +1654 - MN-EPI: 2
- 应助: 4104 (副教授)
- 贵宾: 0.053
- 金币: 47714.2
- 散金: 4089
- 红花: 503
- 帖子: 14991
- 在线: 7309小时
- 虫号: 1111232
- 注册: 2010-09-29
- 性别: GG
- 专业: 材料物理化学
- 管辖: 微米和纳米
4楼2014-01-06 18:07:33
gxytju2008
专家顾问 (文坛精英)
-

专家经验: +1654 - MN-EPI: 2
- 应助: 4104 (副教授)
- 贵宾: 0.053
- 金币: 47714.2
- 散金: 4089
- 红花: 503
- 帖子: 14991
- 在线: 7309小时
- 虫号: 1111232
- 注册: 2010-09-29
- 性别: GG
- 专业: 材料物理化学
- 管辖: 微米和纳米
5楼2014-01-06 20:23:36
6楼2014-01-06 20:28:38
7楼2014-01-06 20:59:08
gxytju2008
专家顾问 (文坛精英)
-

专家经验: +1654 - MN-EPI: 2
- 应助: 4104 (副教授)
- 贵宾: 0.053
- 金币: 47714.2
- 散金: 4089
- 红花: 503
- 帖子: 14991
- 在线: 7309小时
- 虫号: 1111232
- 注册: 2010-09-29
- 性别: GG
- 专业: 材料物理化学
- 管辖: 微米和纳米
8楼2014-01-06 21:01:13
9楼2014-01-06 21:04:55
10楼2014-01-07 09:49:23













回复此楼