24小时热门版块排行榜    

北京石油化工学院2026年研究生招生接收调剂公告
查看: 273  |  回复: 0

alexathha

木虫 (小有名气)

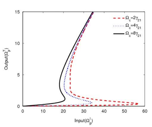
[求助] 量子多能级系统中的双稳态数值模拟

根据文献,有各矩阵元,其中,,怎么计算xy的曲线即双稳态入射和出射的关系曲线
量子多能级系统中的双稳态数值模拟
1.jpg


量子多能级系统中的双稳态数值模拟-1
2.jpg
回复此楼

» 猜你喜欢

已阅   回复此楼   关注TA 给TA发消息 送TA红花 TA的回帖

智能机器人

Robot (super robot)

我们都爱小木虫

找到一些相关的精华帖子,希望有用哦~

科研从小木虫开始,人人为我,我为人人
相关版块跳转 我要订阅楼主 alexathha 的主题更新
最具人气热帖推荐 [查看全部] 作者 回/看 最后发表
[考研] 295求调剂 +5 wei-5 2026-03-26 5/250 2026-03-30 08:34 by 探123
[考研] 南京大学化学调剂 +9 景随风 2026-03-29 14/700 2026-03-29 21:22 by chixmc
[考研] 317分 一志愿南理工材料工程 本科湖工大 求调剂 +10 芋泥小铃铛 2026-03-28 10/500 2026-03-29 20:51 by 无际的草原
[考研] 材料科学与工程求调剂 +6 深V宿舍吧 2026-03-29 6/300 2026-03-29 20:51 by 唐沐儿
[考研] 289求调剂 +5 BrightLL 2026-03-29 5/250 2026-03-29 17:24 by zhyzzh
[考研] 一志愿双一流机械285分求调剂 +4 幸运的三木 2026-03-29 5/250 2026-03-29 14:49 by Miko19
[考研] 070300化学354求调剂 +6 101次希望 2026-03-28 6/300 2026-03-29 12:57 by 无际的草原
[考研] 348求调剂 +5 小懒虫不懒了 2026-03-28 5/250 2026-03-29 10:34 by 唐沐儿
[考研] 330分求调剂 +5 qzenlc 2026-03-29 5/250 2026-03-29 07:37 by 无际的草原
[考研] 一志愿厦门大学化学学硕307求调剂 +10 y7czhao 2026-03-26 10/500 2026-03-28 14:23 by 唐沐儿
[考研] 291求调剂 +15 hhhhxn.. 2026-03-23 21/1050 2026-03-28 11:26 by self2008
[考研] 315分求调剂 +7 26考研上岸版26 2026-03-26 7/350 2026-03-28 04:05 by fmesaito
[考博] 26申博 +3 加油冲啊! 2026-03-26 3/150 2026-03-27 15:38 by cls512
[考研] 安徽大学专硕生物与医药专业(086000)324分,英语已过四六级,六级521,求调剂 +4 美味可乐鸡翅 2026-03-26 4/200 2026-03-27 15:27 by 星空星月
[考研] 286求调剂 +4 lim0922 2026-03-26 4/200 2026-03-27 10:28 by guoweigw
[考研] 调剂求收留 +7 果然有我 2026-03-26 7/350 2026-03-27 00:26 by wxiongid
[考研] 化学调剂一志愿上海交通大学336分-本科上海211 +4 小鱼爱有机 2026-03-25 4/200 2026-03-26 10:19 by aa331100
[考研] 网络空间安全0839招调剂 +4 w320357296 2026-03-25 6/300 2026-03-25 17:59 by 255671
[考研] 生物学学硕求调剂 +7 小羊睡着了? 2026-03-23 10/500 2026-03-25 02:24 by 清风拂扬。 m
[考研] 344求调剂 +3 desto 2026-03-24 3/150 2026-03-24 10:09 by 搏击518
信息提示
请填处理意见