24小时热门版块排行榜    

北京石油化工学院2026年研究生招生接收调剂公告
查看: 205  |  回复: 0

wushiqiaowpp

金虫 (初入文坛)

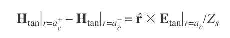
[求助] 求大侠指点如何推导cloaking的边界条件

求解答
求大侠指点如何推导cloaking的边界条件
KS`]AU)ATLC}]$V`(LLE]13.jpg
回复此楼

» 猜你喜欢

思考就是一种享受
已阅   回复此楼   关注TA 给TA发消息 送TA红花 TA的回帖
相关版块跳转 我要订阅楼主 wushiqiaowpp 的主题更新
最具人气热帖推荐 [查看全部] 作者 回/看 最后发表
[考研] 279求调剂 +6 j的立方 2026-03-29 6/300 2026-03-30 11:46 by 松花缸1201
[考研] 292求调剂 +8 是妍子也是研子 2026-03-30 8/400 2026-03-30 11:34 by 替代品000
[考研] 348求调剂 +6 小懒虫不懒了 2026-03-28 6/300 2026-03-30 10:29 by Evan_Liu
[考研] 一志愿中南大学化学0703总分337求调剂 +6 niko- 2026-03-27 6/300 2026-03-30 10:25 by herarysara
[考研] 085600,材料与化工321分求调剂 +10 大馋小子 2026-03-28 10/500 2026-03-29 23:35 by 飞行日记西
[考研] 一志愿南昌大学324求调剂 +5 hanamiko 2026-03-29 5/250 2026-03-29 16:46 by 学员8dgXkO
[考研] 322求调剂 +7 宋明欣 2026-03-27 7/350 2026-03-28 21:27 by sanrepian
[考研] 332求调剂 +4 @MZB382400 2026-03-28 4/200 2026-03-28 21:02 by 唐沐儿
[考研] 压国家一区线,求导师收留,有恩必谢! +7 迷人的哈哈 2026-03-28 7/350 2026-03-28 16:47 by 催化大白
[考研] 一志愿211院校 344分 东北农业大学生物学学硕,求调剂 +5 丶风雪夜归人丶 2026-03-26 8/400 2026-03-27 19:22 by 丶风雪夜归人丶
[考研] 考研调剂 +4 Sanmu-124 2026-03-26 4/200 2026-03-27 17:49 by kiokin
[考研] 07化学280分求调剂 +10 722865 2026-03-23 10/500 2026-03-27 15:51 by Plutoqq
[考研] 08开头275求调剂 +4 拉谁不重要 2026-03-26 4/200 2026-03-27 14:12 by Delta2012
[考研] 考研调剂 +9 小蜡新笔 2026-03-26 9/450 2026-03-27 11:10 by 不吃魚的貓
[考研] 0703化学一志愿南京师范大学303求调剂 +3 zzffylgg 2026-03-24 3/150 2026-03-27 10:42 by shangxh
[考研] 324求调剂 +8 hanamiko 2026-03-26 10/500 2026-03-27 08:06 by hypershenger
[考研] 304材料求调剂 +4 钟llll 2026-03-26 4/200 2026-03-27 03:42 by wxiongid
[考研] 085601求调剂总分293英一数二 +4 钢铁大炮 2026-03-24 4/200 2026-03-26 16:28 by dick_runner
[考研] 284求调剂 +3 yanzhixue111 2026-03-23 6/300 2026-03-23 22:58 by pswait
[考研] 269求调剂 +4 我想读研11 2026-03-23 4/200 2026-03-23 21:25 by pswait
信息提示
请填处理意见