±±¾©Ê¯ÓÍ»¯¹¤Ñ§Ôº2026ÄêÑо¿ÉúÕÐÉú½ÓÊÕµ÷¼Á¹«¸æ
²é¿´: 330  |  »Ø¸´: 2

123-smiling

гæ (³õÈëÎÄ̳)

[ÇóÖú] ·ÇÏßÐÔÓÅ»¯ ÒÑÓÐ1È˲ÎÓë

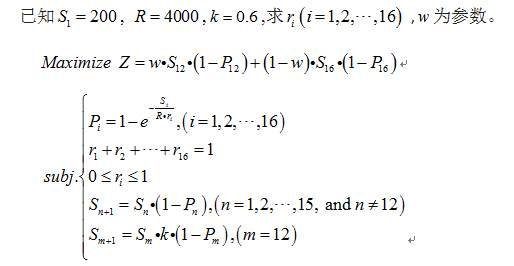
Çë¸÷λ´óÉñ°ïæÇó½âÒ»ÏÂÒÔÉÏÎÊÌ⣬matlab£¬mathematica£¬1stopt¶¼¿ÉÒÔ£¬Ð»Ð»£¡
·ÇÏßÐÔÓÅ»¯
»Ø¸´´ËÂ¥
ÒÑÔÄ   »Ø¸´´ËÂ¥   ¹Ø×¢TA ¸øTA·¢ÏûÏ¢ ËÍTAºì»¨ TAµÄ»ØÌû

onesupeng

½ð³æ (Ö°Òµ×÷¼Ò)

¡¾´ð°¸¡¿Ó¦Öú»ØÌû

¸Ðл²ÎÓ룬ӦÖúÖ¸Êý +1
ºÜ¶àÈí¼þ¿ÉÒÔ×öÕâ¸öÎÊÌ⣬µ«ÊÇÄãÒª¸ø´úÂëÕâ¾ÍΪÄÑ´ó¼ÒÁË¡£ÒòΪÄãÕâ¸öûÓб¾ÖʵÄÀ§ÄÑ£¬Èí¼þÕÒÀ´Ñо¿Ò»Ï¾ÍÄÜ×öµ½ÁË
³¤ÆÚÕÐÊÕ²©Ê¿Éú£¬²Î¼ûhttp://fsl-unsw.com
2Â¥2013-12-23 08:36:53
ÒÑÔÄ   »Ø¸´´ËÂ¥   ¹Ø×¢TA ¸øTA·¢ÏûÏ¢ ËÍTAºì»¨ TAµÄ»ØÌû

123-smiling

гæ (³õÈëÎÄ̳)

ÒýÓûØÌû:
2Â¥: Originally posted by onesupeng at 2013-12-23 08:36:53
ºÜ¶àÈí¼þ¿ÉÒÔ×öÕâ¸öÎÊÌ⣬µ«ÊÇÄãÒª¸ø´úÂëÕâ¾ÍΪÄÑ´ó¼ÒÁË¡£ÒòΪÄãÕâ¸öûÓб¾ÖʵÄÀ§ÄÑ£¬Èí¼þÕÒÀ´Ñо¿Ò»Ï¾ÍÄÜ×öµ½ÁË

ÊÇÂé·³´ó¼ÒÁË£¬ÎÒÊÇÐÂÊÖ£¬²»ÊǺܻáÕâЩÈí¼þ£¬ÎÒÓÃmathematicaºÍ1stopt½â¾ö²»ÁË£¬¿ÉÄܵݹ麯ÊýÀïÃæ³öÁËÎÊÌ⣬ÕâÊÇÎҵijÌÐò£¬Âé·³´ó¼Ò¾ÀÕý¡£
1.
Mathematica³ÌÐò£º

Maximize[{w*S[12]*(1 - P[12]) + (1-w)*S[16]*(1 - P[16]),
  S[1] == 10 && R == 100 && k == 0.6 &&
   S[2] == S[1]*E^-(S[1]/(R*(r[1]))) &&
   S[3] == S[2]*E^-(S[2]/(R*(r[2]))) &&
   S[4] == S[3]*E^-(S[3]/(R*(r[3]))) &&
   S[5] == S[4]*E^-(S[4]/(R*(r[4]))) &&
   S[6] == S[5]*E^-(S[5]/(R*(r[5]))) &&
   S[7] == S[6]*E^-(S[6]/(R*(r[6]))) &&
   S[8] == S[7]*E^-(S[7]/(R*(r[7]))) &&
   S[9] == S[8]*E^-(S[8]/(R*(r[8]))) &&
   S[10] == S[9]*E^-(S[9]/(R*(r[9]))) &&
   S[11] == S[10]*E^-(S[10]/(R*(r[10]))) &&
   S[12] == S[11]*E^-(S[11]/(R*(r[11]))) &&
   S[13] == k*S[12]*E^-(S[12]/(R*(r[12]))) &&
   S[14] == S[13]*E^-(S[13]/(R*(r[13]))) &&
   S[15] == S[14]*E^-(S[14]/(R*(r[14]))) &&
   S[16] == S[15]*E^-(S[15]/(R*(r[15]))) &&
   P[1] == 1 - E^-(S[1]/(R*(r[1]))) &&
   P[2] == 1 - E^-(S[2]/(R*(r[2]))) &&
   P[3] == 1 - E^-(S[3]/(R*(r[3]))) &&
   P[4] == 1 - E^-(S[4]/(R*(r[4]))) &&
   P[5] == 1 - E^-(S[5]/(R*(r[5]))) &&
   P[6] == 1 - E^-(S[6]/(R*(r[6]))) &&
   P[7] == 1 - E^-(S[7]/(R*(r[7]))) &&
   P[8] == 1 - E^-(S[8]/(R*(r[8]))) &&
   P[9] == 1 - E^-(S[9]/(R*(r[9]))) &&
   P[10] == 1 - E^-(S[10]/(R*(r[10]))) &&
   P[11] == 1 - E^-(S[11]/(R*(r[11]))) &&
   P[12] == 1 - E^-(S[12]/(R*(r[12]))) &&
   P[13] == 1 - E^-(S[13]/(R*(r[13]))) &&
   P[14] == 1 - E^-(S[14]/(R*(r[14]))) &&
   P[15] == 1 - E^-(S[15]/(R*(r[15]))) &&
   P[16] == 1 - E^-(S[16]/(R*(r[16]))) &&
   r[1] + r[2] + r[3] + r[4] + r[5] + r[6] + r[7] + r[8] + r[9] +
     r[10] + r[11] + r[12] + r[13] + r[14] + r[15] + r[16] == 1 &&
   0 <= r[1] <= 1 && 0 <= r[2] <= 1 && 0 <= r[3] <= 1 &&
   0 <= r[4] <= 1 && 0 <= r[5] <= 1 && 0 <= r[6] <= 1 &&
   0 <= r[7] <= 1 && 0 <= r[8] <= 1 && 0 <= r[9] <= 1 &&
   0 <= r[10] <= 1 && 0 <= r[11] <= 1 && 0 <= r[12] <= 1 &&
   0 <= r[13] <= 1 && 0 <= r[14] <= 1 && 0 <= r[15] <= 1 &&
   0 <= r[16] <= 1}, {r[1], r[2], r[3], r[4], r[5], r[6], r[7], r[8],
  r[9], r[10], r[11], r[12], r[13], r[14], r[15], r[16]}]

2.1stopt³ÌÐò
Constant n=16,RR=4000,k=0.6;
ConstStr S[1]=200,for i := 1 to n do P=1-exp(-S/RR/r);
Parameter r(1:n)[0,1], S(2:16)[0,],w;
MaxFunction w*S12*(1-P12)+(1-w)*S16*(1-P16);
            Sum(i=1:n)(r)=1;
            S[2]=S[1]*(1-P[1]);
            S[3]=S[2]*(1-P[2]);
            S[4]=S[3]*(1-P[3]);
            S[5]=S[4]*(1-P[4]);
            S[6]=S[5]*(1-P[5]);
            S[7]=S[6]*(1-P[6]);
            S[8]=S[7]*(1-P[7]);
            S[9]=S[8]*(1-P[8]);
            S[10]=S[9]*(1-P[9]);
            S[11]=S[10]*(1-P[10]);
            S[12]=S[11]*(1-P[11]);
            S[13]=S[12]*k*(1-P[12]);
            S[14]=S[13]*(1-P[13]);
            S[15]=S[14]*(1-P[14]);
            S[16]=S[15]*(1-P[15]);
3Â¥2013-12-23 10:40:27
ÒÑÔÄ   »Ø¸´´ËÂ¥   ¹Ø×¢TA ¸øTA·¢ÏûÏ¢ ËÍTAºì»¨ TAµÄ»ØÌû
Ïà¹Ø°æ¿éÌø×ª ÎÒÒª¶©ÔÄÂ¥Ö÷ 123-smiling µÄÖ÷Ìâ¸üÐÂ
×î¾ßÈËÆøÈÈÌûÍÆ¼ö [²é¿´È«²¿] ×÷Õß »Ø/¿´ ×îºó·¢±í
[¿¼ÑÐ] 286Çóµ÷¼Á +3 ¶ªµôÀÁ¶è 2026-03-27 6/300 2026-03-27 23:46 by barnett0632
[¿¼ÑÐ] 307Çóµ÷¼Á +8 ³¬¼¶ÒÁ°º´óÍõ 2026-03-24 9/450 2026-03-27 15:34 by ³¬¼¶ÒÁ°º´óÍõ
[¿¼ÑÐ] °²»Õ´óѧר˶ÉúÎïÓëҽҩרҵ(086000)324·Ö£¬Ó¢ÓïÒѹýËÄÁù¼¶£¬Áù¼¶521£¬Çóµ÷¼Á +4 ÃÀζ¿ÉÀÖ¼¦³á 2026-03-26 4/200 2026-03-27 15:27 by ÐÇ¿ÕÐÇÔÂ
[¿¼ÑÐ] Ò»Ö¾Ô¸±±¾©»¯¹¤´óѧ²ÄÁÏÓ뻯¹¤ 264·Ö¸÷¿Æ¹ýAÇø¹ú¼ÒÏß +10 ¹þ¹þ157349 2026-03-21 10/500 2026-03-27 13:06 by zzll406
[¿¼ÑÐ] 321Çóµ÷¼Á +4 è±Óñ~~ 2026-03-25 4/200 2026-03-27 11:41 by sanrepian
[¿¼ÑÐ] 334Çóµ÷¼Á +3 ÓêÇåÌìÇç 2026-03-21 3/150 2026-03-27 11:30 by ²»³Ôô~µÄ؈
[¿¼ÑÐ] ²ÄÁÏÓ뻯¹¤¿¼Ñе÷¼Á +16 ‹üÈA 2026-03-22 16/800 2026-03-27 11:23 by ÍõЦÓîÒ»¶¨ÊÇÑо
[¿¼ÑÐ] 314Çóµ÷¼Á +3 ÏªÔÆçæ 2026-03-26 3/150 2026-03-27 11:20 by sanrepian
[¿¼ÑÐ] 081200-11408-276ѧ˶Çóµ÷¼Á +4 ´Þwj 2026-03-26 4/200 2026-03-27 08:04 by chemisry
[¿¼ÑÐ] Ò»Ö¾Ô¸Î人Àí¹¤£¬×Ü·Ö321£¬Ó¢Ò»Êý¶þ£¬ÇóÀÏʦÊÕÁô¡£ +5 nnnnnnn5 2026-03-25 5/250 2026-03-27 04:42 by wxiongid
[¿¼ÑÐ] 325Çóµ÷¼Á +3 Aoyijiang 2026-03-23 3/150 2026-03-26 20:46 by ²»³Ôô~µÄ؈
[¿¼ÑÐ] 0856Çóµ÷¼Á +8 zhn03 2026-03-25 9/450 2026-03-26 13:42 by zzll406
[¿¼ÑÐ] Ò»Ö¾Ô¸¹þ¹¤´ó£¬085400£¬320£¬Çóµ÷¼Á +4 gdlf9999 2026-03-24 4/200 2026-03-25 23:01 by boxking200
[¿¼ÑÐ] 340Çóµ÷¼Á +5 »°Ã·ÌÇ111 2026-03-24 5/250 2026-03-25 06:53 by ilovexiaobin
[¿¼ÑÐ] 300·Ö£¬²ÄÁÏ£¬Çóµ÷¼Á£¬Ó¢Ò»Êý¶þ +5 ³¬ÔÞµÄ 2026-03-24 5/250 2026-03-24 21:07 by ÐÇ¿ÕÐÇÔÂ
[¿¼ÑÐ] 085404µç×ÓÐÅÏ¢284·ÖÇóµ÷¼Á +4 13659058978 2026-03-24 4/200 2026-03-24 12:15 by syl20081243
[¿¼ÑÐ] ²ÄÁÏ/ũҵרҵ£¬07/08¿ªÍ·¾ù¿É£¬¹ýÏß¾ÍÐÐ +3 ºÇßíŶ»í 2026-03-23 4/200 2026-03-23 22:30 by Íô£¡£¿£¡
[¿¼ÑÐ] 070300£¬Ò»Ö¾Ô¸±±º½320Çóµ÷¼Á +3 Jerry0216 2026-03-22 5/250 2026-03-23 09:16 by ¡£¡£ÌÃÌÃ
[¿¼ÑÐ] ²ÄÁÏѧ˶301·ÖÇóµ÷¼Á +7 Liyouyumairs 2026-03-21 7/350 2026-03-21 22:31 by peike
[¿¼ÑÐ] Ò»Ö¾Ô¸ÄÏ´ó£¬0703»¯Ñ§£¬·ÖÊý336£¬Çóµ÷¼Á +3 ÊÕµ½VS 2026-03-21 3/150 2026-03-21 18:42 by ѧԱ8dgXkO
ÐÅÏ¢Ìáʾ
ÇëÌî´¦ÀíÒâ¼û