24小时热门版块排行榜    

查看: 789  |  回复: 0

kaka002255

新虫 (初入文坛)

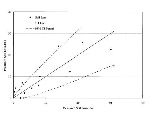
[求助] 置信区间作图

哪位大虾会做这种置信区间的图啊?这个置信区间是怎么算出来的?谢谢各位了!!!!
置信区间作图
(~EZR5(9M`PUJNT]_XENLUW.jpg

» 猜你喜欢

已阅   关注TA 给TA发消息 送TA红花 TA的回帖

智能机器人

Robot (super robot)

我们都爱小木虫

找到一些相关的精华帖子,希望有用哦~

科研从小木虫开始,人人为我,我为人人
相关版块跳转 我要订阅楼主 kaka002255 的主题更新
最具人气热帖推荐 [查看全部] 作者 回/看 最后发表
[考研] 265求调剂 +10 梁梁校校 2026-03-17 10/500 2026-03-23 21:17 by 一切OK
[考研] 070300化学求调剂 +8 苑豆豆 2026-03-20 8/400 2026-03-23 20:57 by baobaoye
[论文投稿] 急发核心期刊论文 +3 贤达问津 2026-03-23 5/250 2026-03-23 17:13 by 妹子不好惹
[考研] 328求调剂 +4 LHHL66 2026-03-23 4/200 2026-03-23 14:55 by lbsjt
[考研] 333求调剂 +6 87639 2026-03-21 10/500 2026-03-23 10:41 by Iveryant
[考研] 323求调剂 +6 洼小桶 2026-03-18 6/300 2026-03-23 00:29 by king123!
[考研] 寻找调剂 +4 倔强芒? 2026-03-21 4/200 2026-03-22 16:14 by 木托莫露露
[考研] 生物学调剂 +5 Surekei 2026-03-21 5/250 2026-03-22 14:39 by tcx007
[考研] 一志愿深大,0703化学,总分302,求调剂 +4 七月-七七 2026-03-21 4/200 2026-03-21 18:20 by 学员8dgXkO
[考研] 296求调剂 +4 www_q 2026-03-20 4/200 2026-03-21 17:26 by 学员8dgXkO
[考研] 求调剂 +3 .m.. 2026-03-21 4/200 2026-03-21 16:25 by barlinike
[考研] 求调剂 +3 Ma_xt 2026-03-17 3/150 2026-03-21 02:05 by JourneyLucky
[考研] 南京大学化学376求调剂 +3 hisfailed 2026-03-19 6/300 2026-03-20 23:43 by hisfailed
[考研] 295求调剂 +4 一志愿京区211 2026-03-18 6/300 2026-03-20 23:41 by JourneyLucky
[考研] 中南大学化学学硕337求调剂 +3 niko- 2026-03-19 6/300 2026-03-20 21:58 by luoyongfeng
[考研] 295材料求调剂,一志愿武汉理工085601专硕 +5 Charlieyq 2026-03-19 5/250 2026-03-20 20:35 by JourneyLucky
[考研] 招收调剂硕士 +4 lidianxing 2026-03-19 12/600 2026-03-20 12:25 by lidianxing
[考研] 085600材料与化工调剂 324分 +10 llllkkkhh 2026-03-18 12/600 2026-03-19 14:33 by llllkkkhh
[考研] 收复试调剂生 +4 雨后秋荷 2026-03-18 4/200 2026-03-18 14:16 by elevennnne
[考研] 考研求调剂 +3 橘颂. 2026-03-17 4/200 2026-03-17 21:43 by 有只狸奴
信息提示
请填处理意见