| 查看: 839 | 回复: 2 | |
[求助]
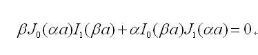
matlab求二元一次方程组时报错
|
|
|
|
|
信彼南山木虫 (著名写手)
|
|
|
2楼2013-12-15 23:10:39
|
|
|
3楼2013-12-16 08:47:54
|
|














回复此楼