| 查看: 2447 | 回复: 18 | ||
[交流]
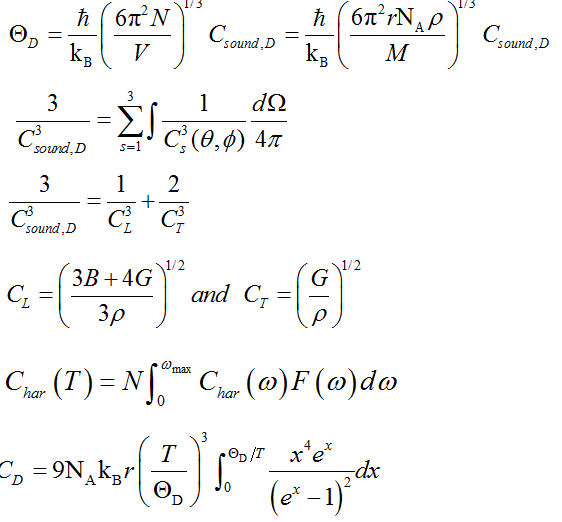
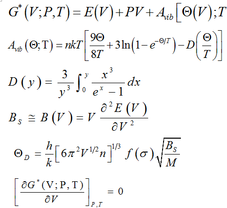
德拜模型算热力学性质,两套公式等价吗?
|
||
» 本主题相关价值贴推荐,对您同样有帮助:
准谐德拜模型计算热力学性质
已经有7人回复
【求助】关于准谐德拜模计算热力学性质,请求帮助!!
已经有6人回复
» 抢金币啦!回帖就可以得到:
祝大家学业有成,工作顺利,生意兴隆
+1/937
公众号有偿招募推文
+1/478
坐标北京,诚征女友
+2/394
中科院深圳先进技术研究院集成电路先进封装博士后招聘
+1/80
【通知】北京信息科技大学仪器科学与光电工程学院招收调剂生(2026),快来报名吧!
+1/41
大连工业大学杰青/长江团队-生物质材料-储能电池方向招收2026级博士生
+1/34
想念
+5/30
【26.9月入学】211大学补招学博1人
+1/15
【26.9月入学】211大学补招学博1人
+1/14
郑州大学·安徽高等研究院 2026年博士招生(申请考核制)
+1/13
紧急招收2026年秋季入学博士生1名(湘潭大学 固体废弃物低碳利用湖南省工程研究中心)
+1/12
紧急招收2026年秋季入学博士生1名(湘潭大学 固体废弃物低碳利用湖南省工程研究中心)
+1/10
北理工国家杰青团队招博士后
+1/9
南京农业大学2026年申请考核制博士招生:最后一批啦!
+1/8
北理工国家杰青团队招博士后
+1/7
【有偿访谈招募】高才通来港后,你过得还好吗?
+1/3
科研解析 | 单细胞测序技术为何如此火?
+1/3
上海交通大学海优建组招开山弟子
+1/2
北航杭州国际校区招聘3D 打印,陶瓷,力学等方向博士后
+1/1
海南大学药学院陈家良课题组2026年招聘博后、副高
+1/1
3楼2013-12-13 17:04:02
6楼2013-12-13 17:41:38
8楼2013-12-14 11:08:20
9楼2013-12-14 14:45:33
14楼2013-12-15 00:56:57
17楼2013-12-17 11:15:04
18楼2013-12-18 10:54:08
19楼2013-12-18 10:56:57
简单回复
userhung2楼
2013-12-13 16:54
回复
happy小海(金币+1): 谢谢参与
boyuehu4楼
2013-12-13 17:30
回复
happy小海(金币+1): 谢谢参与
2013-12-13 17:33
回复
happy小海(金币+1): 谢谢参与

gyfwon7楼
2013-12-13 17:44
回复
happy小海(金币+1): 谢谢参与
kiss2008553710楼
2013-12-14 14:55
回复
happy小海(金币+1): 谢谢参与
bbeerrss11楼
2013-12-14 15:13
回复
happy小海(金币+1): 谢谢参与
kervinzhao12楼
2013-12-14 17:38
回复
happy小海(金币+1): 谢谢参与
奋力拼搏13楼
2013-12-14 22:35
回复
happy小海(金币+1): 谢谢参与
益达木糖醇15楼
2013-12-15 20:09
回复
happy小海(金币+1): 谢谢参与
。。。
xiejf16楼
2013-12-16 16:23
回复
happy小海(金币+1): 谢谢参与












回复此楼
.png