| ²é¿´: 3078 | »Ø¸´: 6 | ||
caofy200707ľ³æ (ÕýʽдÊÖ)
|
[ÇóÖú]
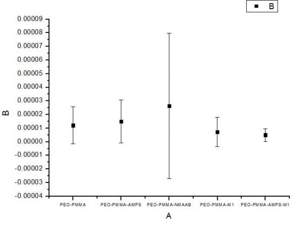
originͼÔõô·ÖÎö£¿¹ØÓÚy error µÄͼ£¬ÎÒ×ö³öÍ»À´ÁË£¬¿´²»Ã÷°× ÒÑÓÐ4È˲ÎÓë
|
|
originͼÔõô·ÖÎö£¿¹ØÓÚy error µÄͼ£¬ÎÒ×ö³öÍ»À´ÁË£¬¿´²»Ã÷°×£¬ÄǸöÎó²îÊÇÔõôËãµÄ£¬Ôõô»¹»áÓиºÖµ£¬ÄǸú¸ùÏßÔõô³Æºô£¬ÎªÊ²Ã´»áÓеij¤ÓеĶ̣¿Âèѽ£¬¿´²»Ã÷°×.... |
» ²ÂÄãϲ»¶
²ÄÁÏÓ뻯¹¤Çóµ÷¼Á
ÒѾÓÐ7È˻ظ´
304Çóµ÷¼Á
ÒѾÓÐ3È˻ظ´
0817 »¯Ñ§¹¤³Ì 299·ÖÇóµ÷¼Á ÓпÆÑоÀú ÓжþÇøÎÄÕÂ
ÒѾÓÐ12È˻ظ´
085600²ÄÁÏÓ뻯¹¤µ÷¼Á 324·Ö
ÒѾÓÐ12È˻ظ´
286Çóµ÷¼Á
ÒѾÓÐ10È˻ظ´
324·Ö 085600²ÄÁÏ»¯¹¤Çóµ÷¼Á
ÒѾÓÐ3È˻ظ´
317Çóµ÷¼Á
ÒѾÓÐ6È˻ظ´
307Çóµ÷¼Á
ÒѾÓÐ5È˻ظ´
Çóµ÷¼Á
ÒѾÓÐ3È˻ظ´
Çóµ÷¼Á£¬Ò»Ö¾Ô¸:ÄϾ©º½¿Õº½Ìì´óѧ´óѧ £¬080500²ÄÁÏ¿ÆÑ§Ó빤³Ìѧ˶£¬×Ü·Ö289·Ö
ÒѾÓÐ3È˻ظ´
» ±¾Ö÷ÌâÏà¹Ø¼ÛÖµÌùÍÆ¼ö£¬¶ÔÄúͬÑùÓаïÖú:
originÀïÃæµÄx ERROR ºÍY errorÊÇʲôÒâ˼°¡£¿
ÒѾÓÐ7È˻ظ´

han2003fei
ľ³æ (ÕýʽдÊÖ)
- Ó¦Öú: 65 (³õÖÐÉú)
- ¹ó±ö: 0.005
- ½ð±Ò: 314.2
- É¢½ð: 27
- ºì»¨: 4
- Ìû×Ó: 646
- ÔÚÏß: 468.7Сʱ
- ³æºÅ: 1419659
- ×¢²á: 2011-09-27
- ÐÔ±ð: GG
- רҵ: ÂÌÉ«Óлú»¯Ñ§
2Â¥2013-12-12 11:15:02
xiaohuaiqiu
Ìú¸Ëľ³æ (ÖªÃû×÷¼Ò)
Prof.
- Ó¦Öú: 120 (¸ßÖÐÉú)
- ½ð±Ò: 10884.1
- É¢½ð: 36
- ºì»¨: 18
- Ìû×Ó: 5643
- ÔÚÏß: 437.7Сʱ
- ³æºÅ: 362660
- ×¢²á: 2007-05-05
- ÐÔ±ð: GG
- רҵ: ʳƷ¿ÆÑ§»ù´¡
¡¾´ð°¸¡¿Ó¦Öú»ØÌû
¡ï ¡ï ¡ï ¡ï
¸Ðл²ÎÓ룬ӦÖúÖ¸Êý +1
caofy200707: ½ð±Ò+4 2013-12-21 19:20:17
¸Ðл²ÎÓ룬ӦÖúÖ¸Êý +1
caofy200707: ½ð±Ò+4 2013-12-21 19:20:17
| Îó²îÓ¦¸ÃÊÇÄã²â¶¨½á¹ûµÄSD,³öÏÖ¸ºÖµÊÇÓÉÓÚÄãÆ½µÈ²â¶¨½á¹û·Ö²¼Ì«¿í£¬Èç¹ûƽ¾ùÖµ±È½ÏÉÙ£¬¶øSD±È½Ï´óµÄ»°£¬ÊÇÓпÉÄܳöÏÖ¸ºÊý£¬µ«´ÓͼÖпÉÒÔ¿´³ö£¬ÄãµÄÊÔÑéÊý¾ÝÎó²îÌ«´óÁË£¬¿¼ÂÇÖØÐ²ⶨһÏ£¬¿ÉÒÔÔö¼ÓÊÔÑé´ÎÊýÀ´¼õÉÙżȻÎó²î¡£ |

3Â¥2013-12-12 11:36:31
xiaohuaiqiu
Ìú¸Ëľ³æ (ÖªÃû×÷¼Ò)
Prof.
- Ó¦Öú: 120 (¸ßÖÐÉú)
- ½ð±Ò: 10884.1
- É¢½ð: 36
- ºì»¨: 18
- Ìû×Ó: 5643
- ÔÚÏß: 437.7Сʱ
- ³æºÅ: 362660
- ×¢²á: 2007-05-05
- ÐÔ±ð: GG
- רҵ: ʳƷ¿ÆÑ§»ù´¡

4Â¥2013-12-12 11:37:26
Pureland
ľ³æÖ®Íõ (ÖªÃû×÷¼Ò)
- PEPI: 67
- Ó¦Öú: 1516 (½²Ê¦)
- ¹ó±ö: 0.015
- ½ð±Ò: 135563
- É¢½ð: 3502
- ºì»¨: 723
- Ìû×Ó: 6479
- ÔÚÏß: 2896.4Сʱ
- ³æºÅ: 693216
- ×¢²á: 2009-01-16
- רҵ: Ó¦Óø߷Ö×Ó»¯Ñ§ÓëÎïÀí
5Â¥2013-12-12 13:57:40
´óɵmeier
гæ (ÕýʽдÊÖ)
- Ó¦Öú: 3 (Ó×¶ùÔ°)
- ½ð±Ò: 49.4
- É¢½ð: 70
- ºì»¨: 81
- Ìû×Ó: 893
- ÔÚÏß: 267.4Сʱ
- ³æºÅ: 2592048
- ×¢²á: 2013-08-11
- ÐÔ±ð: MM
- רҵ: ÍÁÈÀÉú̬ѧ
¡¾´ð°¸¡¿Ó¦Öú»ØÌû
¡ï ¡ï ¡ï ¡ï
¸Ðл²ÎÓ룬ӦÖúÖ¸Êý +1
caofy200707: ½ð±Ò+4 2013-12-21 19:20:41
¸Ðл²ÎÓ룬ӦÖúÖ¸Êý +1
caofy200707: ½ð±Ò+4 2013-12-21 19:20:41
|
ÄǸö°ô°ô½ÐÎó²î°ô,²âÁ¿Ö¸±êÓÐÖØ¸´µÄÇé¿öÏÂ,ÓÃÀ´ÆÀ¼ÛÖØ¸´ÐԵĺûµ.Ô½¶Ì˵Ã÷ÖØ¸´ÐÔÔ½ºÃ.ÔÚexcelÀïÑù±¾±ê×¼²îÊÇstdevº¯Êý£¬Èç¹ûºÜ´ó,Óñê×¼Îó°É,Se=S/¡Ìn,nÊÇʵÑéÉèÖõÄÖØ¸´¸öÊý.ÔÚ0riginÀï,±ê×¼²îµ¥¶À³ÉÁÐ,ÉèÖóÉY error,×÷ͼ¾Í¿ÉÒÔÁË.Ò²ÊdzõѧÕß,Àí½â»á±È½Ïdz [ ·¢×ÔСľ³æ¿Í»§¶Ë ] |
6Â¥2013-12-12 14:59:25
7Â¥2016-03-28 16:41:32













»Ø¸´´ËÂ¥