| ²é¿´: 611 | »Ø¸´: 1 | |
lc_lc22238гæ (³õÈëÎÄ̳)
|
[ÇóÖú]
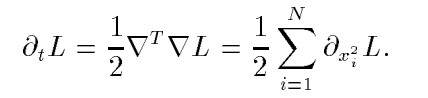
´ó¼ÒºÃ£¬ÏëÇó½ÌÒ»ÏÂÒ»Ö±ÒÔÀ´¸ã²»Çå³þµÄ¼¸¸öÊýѧÃèÊö·ûºÅ£¬Ð»Ð»£¡ ÒÑÓÐ1È˲ÎÓë
|
|
|
|
ÐÄÇéÒ»°ãÒø³æ (³õÈëÎÄ̳)
|
|
|
2Â¥2013-12-19 20:42:06
|
|













»Ø¸´´ËÂ¥